Gaming Control Regulations 2022
I, the Governor in and over the State of Tasmania and its Dependencies in the Commonwealth of Australia, acting with the advice of the Executive Council, make the following regulations under the Gaming Control Act 1993 .
20 June 2022B. BAKER
Governor
By Her Excellency's Command,
MICHAEL DARREL JOSEPH FERGUSON
Treasurer
These regulations may be cited as the Gaming Control Regulations 2022 .
These regulations take effect on 1 July 2023.
In these regulations Act means the Gaming Control Act 1993 ;[Regulation 3 Amended by S.R. 2022, No. 74, Applied:01 Jul 2023] general standards means general standards set by the Commission under section 112PA of the Act;nominated associate means a person who is named (a) in an application for a prescribed licence, or the renewal of a prescribed licence, as an associate of the applicant; or(b) as a new associate of the holder of a prescribed licence in a notification of change, under section 161 of the Act, in relation to the prescribed licence.
[Regulation 3A Inserted by S.R. 2023, No. 20, Applied:01 Jul 2023] For the purposes of the definition of ancillary gaming services in section 3(1) of the Act, the provision of gaming equipment maintenance and repair services to a prescribed licence holder under a contract for services between a person, other than a licensed technician, and the prescribed licence holder is prescribed as an ancillary gaming service.
(1) In this regulation political election means an election in in respect of any level of Government in that country, state, territory, district or area, including local or district Government, if wagering in respect of that election is not otherwise illegal under the law of Tasmania or any other law.(a) Australia or another country; or(b) any state, territory, district or area of Australia or another country (2) For the purposes of paragraph (c) of the definition of sports event in section 3(1) of the Act, the following activities are prescribed as sports events:(a) a political election;(b) the awarding of a prize, or other award, in respect of any sport;(c) the awarding of a prize, or other award, in respect of any art or other cultural activity;(d) the movement in a stock market index or the price of a stock on a stock market;(e) the movement in a commodities market index or the price of a commodity on a commodities market;(f) the movement in interest rates, consumer price index or other economic indicator;(g) the temperature, weather or other meteorological event;(h) the result or an outcome of a television show or other media entertainment event;(i) the result or an outcome of a bloodstock sale or the sex, weight or other characteristic of the progeny of a bloodstock animal;(j) a statistical result based on published research or data;(k) a celebrity announcement.
4A. Major change in situation of licensed operator
[Regulation 4A Inserted by S.R. 2022, No. 74, Applied:01 Jul 2023] For the purposes of section 30 of the Act, the following changes in situation in relation to a licensed operator are prescribed as a major change:(a) a change to the corporate structure of the licensed operator;(b) the licensed operator or any of its associates has been charged with or convicted of (i) an offence against the Act; or(ii) an offence involving fraud or dishonesty, whether that offence or a conviction for the offence occurred in Tasmania or elsewhere;(c) the licensed operator becomes a bankrupt or enters into an arrangement or composition with creditors under the Bankruptcy Act 1966 of the Commonwealth;(d) the licensed operator is a corporate entity and that corporate entity is deregistered under the Corporations Act 2001 of the Commonwealth.
4B. Minor change in situation of licensed operator
[Regulation 4B Inserted by S.R. 2022, No. 74, Applied:01 Jul 2023] For the purposes of section 30 of the Act, the following changes in situation in relation to a licensed operator are prescribed as a minor change:(a) an associate of a licensed holder ceases to be an associate of that licensed operator;(b) a change to the name of the licensed operator or any of the licensed operator's associates;(c) a change to the postal address, registered office address, telephone number or email address of the licensed operator or any of the licensed operator's associates;(d) a change to the details of the person nominated as the contact person for the licensed operator for the receipt of notices or correspondence from the Commission;(e) the licensed operator or any of the licensed operator's associates is charged with or convicted of any offence that is punishable by a term of imprisonment (other than an offence referred to in regulation 4A(b) ), whether that offence or a conviction for the offence occurred in Tasmania or elsewhere;(f) a director of the licensed operator is disqualified under the Corporations Act or an overseas equivalent from managing corporations;(g) the licensed operator is granted or refused a licence, or has disciplinary action taken against it, by a body that regulates gambling in another jurisdiction, whether in Australia or overseas;(h) an associate of the licensed operator has sought to be declared bankrupt, has become bankrupt or has entered into an arrangement or composition with creditors under the Bankruptcy Act 1966 of the Commonwealth;(i) an associate of the licensed operator is deregistered as a corporation under the Corporations Act;(j) the licensed operator or any of the licensed operator's associates default in payment of any debts or guarantees.
(1) In this regulation Australian Statistical Geographical Classification means the Australian Statistical Geographical Classification published by the Australian Bureau of Statistics;Australian Statistical Geography Standard means the Australian Statistical Geography Standard published by the Australian Bureau of Statistics;gaming-sensitive sites includes the following:(a) licensed premises;(b) community facilities;(c) financial institutions;(d) any other site that the Commission considers to be a gaming-sensitive site;local government area means a local government area under the Australian Statistical Geographical Classification;premises means licensed premises at which gaming machines are proposed to be located;relevant areas, in relation to premises, means (a) the local government area in which the premises are situated; and(b) any other local government area within 2 kilometres of the premises; and(c) the statistical area level 2 (SA2) under the Australian Statistical Geography Standard in which the premises are situated.(2) For the purposes of paragraph (a) of the definition of community interest matters in section 35A of the Act, the following matters are prescribed in relation to premises:(a) the name and address of the premises and the venue licence number (if any);(b) the number of gaming machines proposed for the premises;(c) the internal floor plan of the premises;(d) the relevant areas in which the premises are located;(e) the location and name of any gaming-sensitive sites that are within a 2-kilometre radius of the premises;(f) a description of the facilities provided and the activities conducted at the premises;(g) the harm minimisation and responsible gambling measures that will be in place at the premises in addition to those required by any other legislation;(h) data relating to gaming machines in the relevant areas in which the premises are located;(i) demographic and other social and economic information relating to the relevant areas in which the premises are located;(j) the potential social and economic benefits, for the local community, of any proposed gaming machines;(k) the negative social and economic impacts, and the potential negative social and economic impacts, on the local community, of any proposed gaming machines and how those impacts will be managed.
6. Calculation of totalizator wagering dividends
(1) In this regulation totalizator rules means the rules that a totalizator operator has in place in respect of a totalizator as required under section 76XA of the Act.(2) A totalizator operator in calculating the amount payable as a totalizator wagering dividend is to except where the relevant totalizator rules provide otherwise.(a) disregard a fraction of 10 cents that is less than 5 cents; and(b) take a fraction of 10 cents that is equal to or greater than 5 cents to be exactly 5 cents
6A. Prescribed manner for dealing with jackpot prize pool
[Regulation 6A Inserted by S.R. 2022, No. 74, Applied:01 Jul 2023](1) For the purposes of section 85(3) of the Act, a casino operator, venue operator or monitoring operator who has removed a jackpot prize pool from an approved venue must pay that jackpot prize pool to the Commissioner of State Revenue on or before the 14th day of the month immediately following the month during which the jackpot prize pool was so removed.(2) Any money received by the Commissioner of State Revenue under subregulation (1) is payable into the Community Support Fund.
6B. Procedures for sealing computer cabinet of gaming machine or FATG machine
[Regulation 6B Inserted by S.R. 2022, No. 74, Applied:01 Jul 2023] For the purposes of section 86 of the Act, the prescribed procedure to securely seal a seal on the computer cabinet of a gaming machine or an FATG machine is the procedure for the sealing of computer cabinets for such machines specified in the general standards.
6C. Installation of gaming equipment
[Regulation 6C Inserted by S.R. 2022, No. 74, Applied:01 Jul 2023] For the purposes of section 90(2) of the Act, the prescribed requirements for the installation of gaming equipment at a casino or an approved venue are the requirements for the installation of such equipment at an approved venue specified in the general standards.
6D. Requirement for identification information
[Regulation 6D Inserted by S.R. 2022, No. 74, Applied:01 Jul 2023](1) In this regulation identification information, in respect of a gaming machine or an FATG machine, means the identification information that is required under the general standards to be affixed to that gaming machine or FATG machine.(2) A person must not supply a gaming machine or an FATG machine to a prescribed licence holder unless there is identification information affixed to the cabinet of the gaming machine or the FATG machine in accordance with the general standards.Penalty: Fine not exceeding 50 penalty units.(3) A prescribed licence holder must not possess a gaming machine or FATG machine unless there is identification information affixed to the cabinet of the gaming machine or the FATG machine in accordance with the general standards.
[Regulation 6E Inserted by S.R. 2022, No. 74, Applied:01 Jul 2023](1) The Commission may, on application by the holder of a casino licence, approve plans, diagrams and specifications in relation to the conduct and monitoring of operations in the casino.(2) An application under subregulation (1) is to be in a form approved by the Commission.(3) The plans, diagrams and specifications provided to the Commission for approval under subregulation (1) are to indicate the locations of the following:(a) gaming tables and gaming equipment;(b) cash desks;(c) chip storage areas;(d) counting rooms;(e) any cash-dispensing device, including but not limited to, automatic teller machines and cash redemption terminals;(f) premium player areas;(g) such other facilities as the Commission specifies.(4) The Commission may, from time to time, request that a casino operator amend and resubmit plans, diagrams and specifications previously approved under subregulation (1) , within the period specified in the request.(5) A casino operator must amend and resubmit plans, diagrams and specifications as requested under subregulation (4) .(6) If the casino operator amends and resubmits the plans, diagrams and specifications as requested under subregulation (4) , the Commission must approve the amended plans, diagrams and specifications.(7) The Commission may only make a request under subregulation (4) that a casino operator amend and resubmit any plans, diagrams and specifications if the amendment is in the public interest or for the proper conduct of gaming.(8) The Commission may amend on its own initiative any approved plans, diagrams and specifications if the amendment is minor or typographical in nature.
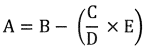
7. Foreign games permit tax rate
For the purposes of section 150AF(2) of the Act, the amount of tax payable on a foreign games permit holder's turnover on tickets sold in Tasmania in a foreign game during a month, taking into account the effect of the goods and services tax, is the percentage, of that turnover, calculated in accordance with the following formula:where A is the percentage of the foreign games permit holder's turnover, on the tickets in the foreign game during the month, that is payable as tax under section 150AF(2) of the Act;B is the percentage that is specified by the foreign games permit holder (in accordance with the foreign games permit holder's foreign games permit) as the rate of return to players, as winnings, of turnover on the tickets in the foreign game during the month;C is the rate of goods and services tax specified in section 4 of the A New Tax System (Goods and Services Tax Imposition General) Act 1999 of the Commonwealth as being payable under the A New Tax System (Goods and Services Tax) Act 1999 of the Commonwealth.
The fees specified in Schedule 1 are prescribed as the fees that are payable under the Act in respect of the matters to which they relate.
9. Annual fee for gaming machine authorities endorsed on venue licence
(1) In this regulation quarter means the period of 3 months commencing on 1 July, 1 October, 1 January or 1 April in a financial year.(2) For the purposes of section 148(1)(a) of the Act, the annual licence fee payable by the holder of a venue licence for each gaming machine authority endorsed on that licence is (a) [Regulation 9 Subregulation (2) amended by S.R. 2023, No. 20, Applied:01 Jul 2023] for the first 5 gaming machine authorities endorsed on the licence, 561.79 fee units per gaming machine authority; and(b) [Regulation 9 Subregulation (2) amended by S.R. 2023, No. 20, Applied:01 Jul 2023] for each gaming machine authority endorsed on the licence in excess of 5 but fewer than 11, 730.33 fee units; and(c) [Regulation 9 Subregulation (2) amended by S.R. 2023, No. 20, Applied:01 Jul 2023] for each gaming machine authority endorsed on the licence in excess of 10 but fewer than 16, 898.87 fee units; and(d) [Regulation 9 Subregulation (2) amended by S.R. 2023, No. 20, Applied:01 Jul 2023] for each gaming machine authority endorsed on the licence in excess of 15 but fewer than 21, 1 067.41 fee units; and(e) [Regulation 9 Subregulation (2) amended by S.R. 2023, No. 20, Applied:01 Jul 2023] for each gaming machine authority endorsed on the licence in excess of 20 but fewer than 26, 1 235.95 fee units; and(f) [Regulation 9 Subregulation (2) amended by S.R. 2023, No. 20, Applied:01 Jul 2023] for each gaming machine authority endorsed on the licence in excess of 25, 1 404.49 fee units.(3) The annual licence fee payable by the holder of a venue licence for each gaming machine authority endorsed on that licence is due and payable in the following manner:(a) if the venue licence is in effect on 1 July in a financial year, the annual licence fee specified in subregulation (2) is payable in 4 equal instalments on the first day of each quarter;(b) if the venue licence takes effect on a day other than 1 July in a financial year, the annual licence fee specified in subregulation (2) is payable in 4 instalments as follows:(i) for a quarter in which the venue licence is not in effect, the instalment for the quarter is waived;(ii) for the quarter during which the venue licence takes effect, the proportional amount of the fee for the quarter is payable within 3 days after the licence takes effect;(iii) for those quarters remaining during the financial year after the quarter referred to in subregulation (ii) , on the first day of each quarter.(4) For the purposes of subregulation (3)(b)(ii) , the proportional amount of the fee for the quarter is to be calculated in accordance with the following formula:where A is the proportional fee to be calculated for the quarter;B is the licence fee payable for the venue licence under subregulation (3) for the full quarter;C is the number of days in the quarter;D is the number of days remaining in the quarter as at the date on which the venue licence takes effect.
10. Annual fee for keno operations at licensed premises
(1) [Regulation 10 Subregulation (1) amended by S.R. 2022, No. 74, Applied:01 Jul 2023] For the purposes of section 148(1)(b) of the Act, the annual licence fee payable by the holder of a venue licence for keno operations at the licensed premises is 700 fee units.(2) The annual licence fee payable by the holder of a venue licence for keno operations at the licensed premises is due and payable in the following manner:(a) if the venue licence is in effect on 1 July in a financial year, the licence fee specified in subregulation (1) is payable in respect of that financial year on the first day of that financial year;(b) if a venue licence takes effect on a day other than 1 July in a financial year, the proportional fee amount is to be paid within 3 days after the venue licence takes effect.(3) For the purposes of subregulation (2)(b) , the proportional fee amount is to be calculated in accordance with the following formula:where A is the proportional fee amount to be calculated;B is the licence fee payable under subregulation (1) for the venue licence for the full financial year;C is the number of days in that financial year;D is the number of days remaining in the financial year as at the date on which the venue licence takes effect.
11. Partial refund of venue licence fee on surrender of venue licence
For section 148(3) of the Act, the proportional refund of the venue licence fee is to be calculated in accordance with the following formula:where A is the refund amount to be calculated;B is the total licence fee that has been paid by the holder of the venue licence under section 148(1) of the Act during the financial year in which the licence is surrendered;C is the licence fee payable by the holder of the venue licence under section 148(1) for the full financial year during which the venue licence is surrendered;D is the number of days in that financial year;E is the number of days in the financial year for which the licence is in effect.
12. Partial refund of licence fee on reduction of gaming machine authorities
(1) In this regulation reduced number, in relation to gaming machine authorities endorsed on a venue licence, means the number of gaming machine authorities endorsed on that venue licence after the venue licence has been amended to reduce the number of gaming machine authorities endorsed on that licence.(2) For section 148(4) of the Act, the proportional refund of the relevant part of a venue licence fee where the number of gaming machine authorities endorsed on the licence is reduced is to be calculated in accordance with the following formula:where A is the refund amount to be calculated;B is the venue licence fee payable for the full financial year under section 148(1)(a) of the Act;C is the venue licence fee that would have been payable for the full financial year under section 148(1)(a) of the Act if the number of gaming machine authorities endorsed on the venue licence were the reduced number;D is the number of days in that financial year;E is the number of days in the quarter for which the number of gaming machine authorities endorsed on the licence is the reduced number.
13. Proportional licence fee if increase in gaming machine authorities
(1) In this regulation increased number, in relation to gaming machine authorities endorsed on a venue licence, means the number of gaming machine authorities endorsed on that venue licence after the venue licence has been amended to increase the number of gaming machine authorities endorsed on that licence.(2) For section 148(5) of the Act, the proportional licence fee to be paid for additional gaming machine authorities endorsed on a venue licence is to be calculated in accordance with the following formula:where A is the proportional licence fee to be calculated for the additional gaming machine authorities;B is the venue licence fee that would have been payable under section 148(1)(a) of the Act for the full financial year if the number of gaming machine authorities endorsed on the venue licence were the increased number;C is the venue licence fee payable under section 148(1)(a) of the Act for the full financial year;D is the number of days in that financial year;E is the number of days in the quarter for which the number of gaming machine authorities endorsed on the licence is the increased number.
[Regulation 13A Inserted by S.R. 2022, No. 74, Applied:01 Jul 2023] For the purposes of section 149(2) of the Act, the amount of unclaimed winnings for a month (the payment month) that is payable by a licensed operator or venue operator in respect of gaming conducted by that operator is to be calculated in accordance with the following formula:where A is the total amount of unclaimed winnings for the payment month;B is the total amount of winnings payable by the operator during the payment month that was not collected at the end of the payment month;C is the total amount of winnings paid out by the operator during the payment month in respect of winnings uncollected at the beginning of the payment month.
14. Partial refund of licence fee on surrender of Tasmanian gaming licence
For section 76ZI(2A) of the Act, the proportional refund of the relevant licence fee is to be calculated in accordance with the following formula:where A is the amount to be calculated;LF is the licence fee payable for the full financial year in which the licence is surrendered;D1 is the number of days in that financial year;D2 is the number of days remaining in that financial year after the day on which the licence is surrendered.
15. Partial refund of licence fee on surrender of gaming endorsement
(1) For section 76ZI(4)(c) of the Act, the proportional refund of the relevant part of the licence fee is to be calculated in accordance with the following formula:where A is the amount of the refund to be calculated;NR is the amount of the nominal proportional refund (being the refund that the licensed provider would be given under section 76ZI(2A) of the Act if, on the day on which the gaming endorsement is surrendered (the "day of surrender"), the Tasmanian gaming licence itself were being surrendered, rather than that gaming endorsement);NF is the amount of the nominal residual licence fee (being the fee that, under section 148A of the Act, would be payable in respect of the Tasmanian gaming licence for the relevant financial year if it were issued, with its remaining gaming endorsements, on the day of surrender).(2) In this regulation, relevant part has the same meaning as in section 76ZI of the Act.
16. Annual listing fee to remain on Roll
(1) In this regulation listing year means the 12-month period commencing on 1 September in any year.(2) The fee required to be paid under section 148AB(1) of the Act is (a) payable for each listing year; and(b) payable, for each listing year, by 31 August of the listing year immediately preceding the listing year for which it is being paid.(3) For section 148AB(2) of the Act, a proportional refund of the annual listing fee referred to in that subregulation is to be calculated in accordance with the following formula:where A is the amount of the refund to be calculated;LF is the annual listing fee paid by the person for the listing year in which the person ceases to be listed on the Roll;D1 is the number of days in that listing year;D2 is the number of days remaining in that listing year after the day on which the person ceases to be listed on the Roll.
16A. Controls and procedures to be implemented in casinos
[Regulation 16A Inserted by S.R. 2022, No. 74, Applied:01 Jul 2023] For the purposes of section 137(5) of the Act, a system of internal controls and administrative and accounting procedures approved for use by a casino operator must include details of the following:(a) accounting systems and procedures to be used by the casino operator;(b) administrative systems and procedures to be used by the casino operator, including the functions of staff engaged in gaming operations in the casino;(c) procedures for the conduct of gaming and the operation of gaming equipment, including computer systems;(d) procedures for the security, storage and disposal of gaming equipment;(e) procedures for the acquisition, installation, service, repair and maintenance of gaming equipment;(f) procedures for the use and maintenance of security and surveillance facilities;(g) general procedures in connection with gaming operations at the casino.
16B. Controls and procedures to be implemented by venue operators
[Regulation 16B Inserted by S.R. 2022, No. 74, Applied:01 Jul 2023] For the purposes of section 137A(3) of the Act, the system of internal controls and administrative and accounting procedures established by the Commission for use by venue operators is to include details of the following:(a) accounting systems and procedures to be used by the venue operator;(b) administrative systems and procedures to be used by the venue operator, including the functions of staff engaged in gaming operations;(c) procedures for the conduct of gaming and the operation of gaming equipment, including computer systems;(d) procedures for the acquisition, security, storage and disposal of gaming equipment;(e) procedures for the installation, service, repair and maintenance of gaming equipment;(f) procedures for the use and maintenance of security and surveillance facilities;(g) general procedures in connection with the gaming operations of the hotel or licensed club.
16C. Controls and procedures to be implemented by keno operators and monitoring operators
[Regulation 16C Inserted by S.R. 2022, No. 74, Applied:01 Jul 2023] For the purposes of section 138(5) of the Act, a system of internal controls and administrative and accounting procedures approved for use by a keno operator or monitoring operator must include details of the following:(a) accounting systems and procedures to be used by the keno operator or monitoring operator;(b) administrative systems and procedures to be used by the keno operator or monitoring operator, including the functions of the operator's staff;(c) in the case of a keno operator (i) procedures for the operation of a keno system; and(ii) general procedures in connection with the conduct of keno;(d) procedures for the acquisition, installation, service, repair and maintenance of gaming equipment by or on behalf of the keno operator or monitoring operator.
16D. Warning signs in casinos and licensed premises
[Regulation 16D Inserted by S.R. 2022, No. 74, Applied:01 Jul 2023](1) The holder of a casino licence or a venue licence must ensure that a warning sign, in a form approved by the Commission, is displayed in a prominent position at each entrance to any restricted gaming areas within the approved venue specified in the licence.Penalty: Fine not exceeding 100 penalty units.(2) The holder of a casino licence or a venue licence must ensure that a warning sign, in a form approved by the Commission, is prominently displayed on every gaming machine operating at the approved venue specified in the licence.Penalty: Fine not exceeding 100 penalty units.(3) A warning sign under this regulation must state (a) such of the following information as the Commission may determine:(i) the minimum age at which a person may enter and remain in a restricted gaming area and operate a gaming machine;(ii) that a person may be required to provide evidence of age;(iii) that a person under the minimum age is not entitled to any winnings from the operation of a gaming machine or from placing a wager on a game of keno;(iv) the maximum penalties for entering or remaining in the restricted gaming area, for operating a gaming machine or for placing a wager on a game of keno; and(b) such other warning, safety or instructive information that the Commission considers is in the public interest.
16E. Tampering or interfering with gaming equipment
[Regulation 16E Inserted by S.R. 2022, No. 74, Applied:01 Jul 2023] A person must not, unless authorised to do so under the Act or by the Commission (a) remove, replace or interfere with any electronic or physical security devices that are monitoring or protecting gaming equipment; or(b) alter or otherwise interfere with identification information which is affixed to gaming equipment; or(c) affix or break any seal protecting access to security codes or passwords relating to gaming equipment.Penalty: Fine not exceeding 200 penalty units.
An appeal to the Supreme Court under section 173 of the Act is to be instituted in the manner and within the period provided in Division 4 of Part 27 of the Supreme Court Rules 2000 as if it were an appeal which is subject to the provisions of the Supreme Court Civil Procedure Act 1932 .
For the purposes of section 100(2) of the Act, the following provisions of the Act are prescribed:(a) section 87 ;(b) section 89 ;(c) section 94 ;(d) section 112 ;(e) section 115 ;(f) section 116 ;(g) section 118 ;(h) section 135 .
18A. Transitional regulation for gaming operator
[Regulation 18A Inserted by S.R. 2023, No. 20, Applied:01 Jul 2023](1) In this regulation former electronic monitoring system means the electronic monitoring system that was operated by a gaming operator under the old legislative scheme;gaming operator means a person who, immediately before the commencement of these regulations, held a gaming operators licence under the old legislative scheme;jackpot increment amount means the amount by which a gaming machines progressive jackpot prize has been increased from its initial jackpot prize amount by the accumulation of contributions from credits played on the gaming machine;old legislative scheme means the provisions of the Gaming Control Act 1993 as in force before 1 July 2023;reporting period means the period commencing on 1 July 2016 and ending on 30 June 2023 (both days inclusive);source data, for a gaming machine, includes the following data for that machine:(a) data relating to credits played and credits won that is recorded in the electronic meter of that gaming machine;(b) data relating to the jackpot increment amount for that machine that is recorded in the electronic meter of that machine or in a device to which that machine is linked.(2) A gaming operator must, before 1 August 2023, provide the Commission with a copy of (a) all data relating to the conduct of gaming stored in the former electronic monitoring system as at 12:00am on 1 July 2023; and(b) a copy of records of gaming machine source data that were made by the gaming operator for the reporting period.Penalty: Fine not exceeding 200 penalty units.
18B. Transitional regulation for monitoring operator
[Regulation 18B Inserted by S.R. 2023, No. 20, Applied:01 Jul 2023](1) In this regulation gaming operator has the same meaning as in regulation 18A ;jackpot increment amount has the same meaning as in regulation 18A ;source data has the same meaning as in regulation 18A ;transitional gaming machine means a gaming machine that was, as at 1 July 2023, installed in licensed premises.(2) A monitoring operator must not permit the use of a transitional gaming machine for the conduct of gaming unless the monitoring operator has completed an audit of that gaming machine in accordance with subregulation (3) .(3) To complete an audit of a transitional gaming machine, the monitoring operator must (a) collect the source data for the gaming machine and ensure that it is correctly recorded in the electronic monitoring system; and(b) compare the source data collected under paragraph (a) against the data provided to the monitoring operator under subregulation (5) ; and(c) in the case where there is a discrepancy between the source data collected under paragraph (a) and the data provided under subregulation (5) , take a photograph of the source data for that gaming machine.(4) The monitoring operator must provide the Commission with a copy of any photograph taken for the purposes of subregulation (3) as soon as reasonably practicable after taking the photograph.(5) The Commission must provide the monitoring operator with data relating to credits played and credits won on, and jackpot increment amounts for, transitional gaming machines as soon as reasonably practicable after having received that data from the gaming operator under regulation 13 of the Gaming Control Regulations 2014.
18C. Transitional regulation for calculation of community support levy
[Regulation 18C Inserted by S.R. 2023, No. 28, Applied:01 Jul 2023](1) In this regulation changeover day means 1 July 2023;former Act means the Act as in force immediately before the changeover day;jackpot increment, for a hotel or club gaming machine, means the amount by which a gaming jackpot prize on that gaming machine increases from its approved initial value by the contributions from turnover;transitional casino licence holder means the holder of a general casino licence who held a casino licence under the former Act.(2) Any jackpot special prize pool held by a transitional casino licence holder under the former Act immediately before the changeover day is to be included, for the purposes of calculating the community support levy under section 151 of the Act, in the gross profits derived by that licence holder from gaming machine games during the month immediately following the changeover day.(3) A jackpot increment paid to the holder of a venue licence under clause 10(3) of Part 8 of Schedule 5 to the Act is to be included, for the purposes of calculating the community support levy under section 151 of the Act, in the gross profits derived by that licence holder from gaming machine games during the month immediately following the changeover day.(4) The holder of a gaming operators licence under the former Act may, for the purposes of calculating the community support levy under section 151 of the former Act, deduct from its monthly gross profits for the month of June 2023 any payment made under clause 10(3) of Part 8 of Schedule 5 of the Act.
The legislation specified in Schedule 2 is rescinded.
SCHEDULE 1 - Fees[Schedule 1 Substituted by S.R. 2022, No. 74, Applied:01 Jul 2023]
PART 1 - Licence and permit fees[Part 1 of Schedule 1 Inserted by S.R. 2022, No. 74, Applied:01 Jul 2023] [Part 1 of Schedule 1 Amended by S.R. 2023, No. 20, Applied:01 Jul 2023] [Part 1 of Schedule 1 Amended by S.R. 2023, No. 20, Applied:01 Jul 2023] [Part 1 of Schedule 1 Amended by S.R. 2023, No. 20, Applied:01 Jul 2023]
Provision of Act under which fee is payable | Fee units | 1. | Proposal by licensed operator under section 14 of the Act for change to conditions on casino licence or keno operator's licence. | 300 | 2. | Application under section 36 of the Act for venue licence with no gaming machine authorities endorsed on it | (a) base fee; and | 833 | (b) additional fee if venue licence has not been held previously in respect of the premises. | 121 | 3. | Application under section 36 of the Act for venue licence endorsed with one or more gaming machine authorities | (a) base fee; and | 975 | (b) additional fee if application is accompanied by community interest submission. | 1 147 | 4. | Application under section 43B of the Act for renewal of venue licence with no gaming machine authorities endorsed on it. | 556 | 5. | Application under section 43B of the Act for renewal of venue licence endorsed with one or more gaming machine authorities. | 656 | 6. | Request under section 44 of the Act to amend a venue licence | (a) base fee; and | 300 | (b) additional fee if request is accompanied by community interest submission. | 1 265 | 6A. | Application under section 48A of the Act for the transfer of a gaming machine authority | (a) base fee; and | 389 | (b) additional fee if application is accompanied by community interest submission. | 1 365 | 6B. | Application under section 48B of the Act to increase number of gaming machine authorities endorsed on venue licence. | 283 | 6C. | Application under section 48C of the Act to decrease number of gaming machine authorities endorsed on venue licence. | 184 | 6D. | Request under section 48W of the Act to amend conditions on monitoring operator's licence. | 300 | 7. | Application under section 51 of the Act for special employee's licence. | 132 | 8. | Application under section 51 (as applied under section 68 ) of the Act for technician's licence. | 132 | 9. | Application under section 56A of the Act for replacement of special employee's licence. | 20 | 10. | Application under section 56A (as applied under section 68 ) of the Act for replacement of technician's licence. | 20 | 11. | Application under section 60 of the Act for renewal of special employee's licence. | 132 | 12. | Application under section 60 (as applied under section 68 ) of the Act for renewal of technician's licence. | 132 | 13. | Application under section 71 of the Act to be listed on the Roll. | 500 | 14. | Application under section 75B of the Act for renewal of listing on the Roll. | 500 | 15. | Application under section 75C of the Act for variation of listing on the Roll. | 100 | 16. | Application under section 76ZB of the Act for variation of Tasmanian gaming licence. | 100 | 17. | Application under section 76ZZN of the Act for minor gaming permit | (a) for permit that is to be in effect for period not exceeding 12 months; or | 75 | (b) for permit that is to be in effect for period exceeding 12 months. | 105 | 18. | Application under section 77B of the Act for foreign games permit. | 1 000 | 19. | Application under section 77O of the Act for variation of foreign games permit. | 100 | 20. | Application under section 77P of the Act for renewal of foreign games permit. | 1 000 | 21. | Monthly licence fee under section 146 of the Act for holder of general casino licence. | 48 764.04 | 22. | Monthly licence fee under section 147 of the Act for holder of high-roller casino licence. | 9 362.92 | 23. | Monthly licence fee under section 147A of the Act for holder of keno operator's licence. | 23 408.24 | 24. | Annual listing fee under section 148AB of the Act for person to remain on the Roll. | 85 | 25. | Notification under section 161 of the Act of change of nominated associate of venue operator or person listed on the Roll. | 103 |
PART 2 - Fees relating to electronic monitoring system and gaming equipment[Part 2 of Schedule 1 Inserted by S.R. 2022, No. 74, Applied:01 Jul 2023]
Provision of Act under which fee is payable | Fee units | 1. | Application under section 48Y of the Act for the approval of an electronic monitoring system or class of electronic monitoring systems | (a) where the electronic monitoring system or class of electronic monitoring systems has not previously been approved under section 48Y; or | 2 065 | (b) where the electronic monitoring system or class of electronic monitoring systems has been previously approved under section 48Y but components have changed. | 440 | 2. | Application under section 80 of the Act for the approval of a machine type. | 296 | 3. | Application under section 80 of the Act for the approval of a machine game. | 430 | 4. | Application under section 81 of the Act for the approval of gaming equipment | (a) where the gaming equipment is an electronic monitoring system for use in a casino and the electronic monitoring system has not previously been approved under section 81 ; or | 2 065 | (b) where the gaming equipment is an electronic monitoring system for use in a casino and the gaming equipment has been previously approved under section 81 but components of the equipment have changed; or | 440 | (c) where the gaming equipment is for an electronic monitoring system for use in keno operations and the gaming equipment has not previously been approved under section 81 ; or | 2 065 | (d) where the gaming equipment is for an electronic monitoring system for use in keno operations and the gaming equipment has been previously approved under section 81 but components have changed; or | 440 | (e) in all other cases. | 317 | 5. | Application under section 112Q of the Act for approval to possess or have control of gaming equipment, or gaming equipment of a type, that has not been approved. | 53 |
SCHEDULE 2 - Legislation rescinded
Gaming Control Regulations 2014 (No. 120 of 2014) | Gaming Control Amendment Regulations 2017 (No. 53 of 2017) | Gaming Control Amendment Regulations 2020 (No. 14 of 2020) |
Displayed and numbered in accordance with the Rules Publication Act 1953.
Notified in the Gazette on 29 June 2022
These regulations are administered in the Department of Treasury and Finance.






