Water and Sewerage Industry (Community Service Obligation) Regulations 2019
I, the Governor in and over the State of Tasmania and its Dependencies in the Commonwealth of Australia, acting with the advice of the Executive Council, make the following regulations under the Water and Sewerage Industry (Community Service Obligation) Act 2009 .
19 September 2019C. WARNER
Governor
By Her Excellency's Command,
PETER GUTWEIN
Treasurer
These regulations may be cited as the Water and Sewerage Industry (Community Service Obligation) Regulations 2019 .
These regulations take effect on 30 September 2019.
In these regulations Act means the Water and Sewerage Industry (Community Service Obligation) Act 2009 .
4. Persons eligible for concession
(1) In this regulation Gold Card means a card, known as the Repatriation Health Card For All Conditions (Gold), that evidences a persons eligibility to be provided with treatment for all injuries or diseases, under either of the following Acts:(a) the Veterans Entitlements Act 1986 of the Commonwealth;(b) the Military Rehabilitation and Compensation Act 2004 of the Commonwealth;health care card means a health care card issued under the Social Security Act 1991 of the Commonwealth;pensioner concession card means a pensioner concession card issued (a) under the Social Security Act 1991 of the Commonwealth; or(b) as a fringe benefit under the Veterans Entitlements Act 1986 of the Commonwealth.(2) For the purposes of section 5 of the Act, the following classes of persons are prescribed as classes of persons that are eligible for the concession:(a) persons who hold a current pensioner concession card;(b) persons who hold a pensioner concession card that would be current if the persons were not temporarily out of Australia;(c) persons who hold a current health care card;(d) persons who hold a current Gold Card.
For the purposes of section 5(2)(b) and (3)(b) of the Act, the following institutions are prescribed:(a) a facility providing residential care within the meaning of section 41-3 of the Aged Care Act 1997 of the Commonwealth;(b) a hospital providing care to nursing-home type patients, as defined in section 3 of the Health Insurance Act 1973 of the Commonwealth;(c) a facility providing psychiatric or psychological care to persons residing in the facility.
6. Base amount and concession rate
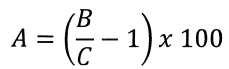
(1) In this regulation Hobart CPI number means the Consumer Price Index: All Groups Index Number for Hobart published by the Australian Bureau of Statistics.(2) For the purposes of section 9(1) of the Act, the base amount for regulated entities for the 2019-20 financial year is $197.(3) For the purposes of section 9(2) of the Act, the base amount for regulated entities for a financial year (a subsequent financial year) after the 2019-20 financial year is to be increased by the following percentage amount:where:A means the percentage increase for the subsequent financial year;B means the average of the Hobart CPI number for the 4 consecutive quarters ending on 31 December immediately before the subsequent financial year;C means the average of the Hobart CPI number for the 4 consecutive quarters ending on 31 December immediately before the 4 consecutive quarters referred to in B.(4) Despite subregulation (3) , if the number obtained for any subsequent financial year under that subregulation is less than 0, then there is no percentage amount prescribed, for the purposes of section 9(2) of the Act, for that subsequent financial year.
Displayed and numbered in accordance with the Rules Publication Act 1953.
Notified in the Gazette on 26 September 2019
These regulations are administered in the Department of Treasury and Finance.
