Parliamentary Retiring Benefits Act 1985
An Act to establish a superannuation scheme for persons who become members of Parliament after the commencement of this Act and before 1 July 1999
Be it enacted by His Excellency the Governor of Tasmania, by and with the advice and consent of the Legislative Council and House of Assembly, in Parliament assembled, as follows:
PART I - Preliminary
This Act may be cited as the Parliamentary Retiring Benefits Act 1985 .
This Act shall commence on the day on which it receives the Royal Assent.
(1) [Section 3 Subsection (1) amended by No. 18 of 1999, s. 18, Applied:14 May 1999] In this Act, unless the contrary intention appears [Section 3 Subsection (1) amended by No. 91 of 1999, s. 33, Applied:15 Dec 1999] accumulation scheme means the Tasmanian Accumulation Scheme established under the Public Sector Superannuation Reform Act 1999 ;[Section 3 Subsection (1) amended by No. 18 of 1999, s. 18, Applied:14 May 1999] Actuary means a person who is a Fellow of the Institute of Actuaries (Australia), the Institute of Actuaries (London) or the Faculty of Actuaries (Edinburgh) appointed under subsection (2) or an organisation that is so appointed;additional salary, in relation to a member, means the salary that is payable to him under Part II or Part III of Schedule 1 to the Parliamentary Salaries and Allowances Act 1973 ;[Section 3 Subsection (1) amended by No. 18 of 1999, s. 18, Applied:14 May 1999] assessment notice means a notice issued by the Taxation Commissioner requiring the payment of an amount of surcharge contributions tax including interest on that payment in respect of a member and includes an amendment to that notice issued by the Taxation Commissioner;basic salary has the same meaning as it has in the Parliamentary Salaries and Allowances Act 1973 ;benefit means a benefit payable under this Act;[Section 3 Subsection (1) amended by No. 18 of 1999, s. 18, Applied:14 May 1999] Commonwealth surcharge Act means an Act of the Commonwealth, as amended from time to time, which imposes a surcharge liability or relates to any such liability;contributions means contributions to the Fund;death or invalidity benefit means a benefit payable under Division 3 of Part IV ;[Section 3 Subsection (1) amended by No. 18 of 1999, s. 18, Applied:14 May 1999] eligible termination payment has the same meaning as in the Income Tax Assessment Act 1936 of the Commonwealth, as amended;Fund means the Parliamentary Retiring Benefits Fund established by this Act;House means a House of the Parliament of this State;[Section 3 Subsection (1) amended by No. 91 of 1999, s. 33, Applied:15 Dec 1999][Section 3 Subsection (1) amended by No. 91 of 1999, s. 33, Applied:15 Dec 1999] member means a person referred to in section 3A ;[Section 3 Subsection (1) amended by No. 18 of 1999, s. 18, Applied:14 May 1999] notional contributions surcharge amount means an amount calculated by the Trust under section 19AA ;[Section 3 Subsection (1) amended by No. 18 of 1999, s. 18, Applied:14 May 1999] notional surchargeable contributions factor means a factor applying to a member as determined under section 6(6) ;parliamentary salary means the basic salary that is payable to a member and includes the additional salary, if any, that is payable to him;period of service, used in relation to a member, means the period, or the sum of the periods, during which that member was or is entitled to a parliamentary salary;[Section 3 Subsection (1) amended by No. 91 of 1999, s. 33, Applied:15 Dec 1999] RBF Board means the Retirement Benefits Fund Board continued in existence under section 7 of the Retirement Benefits Act 1993 ;[Section 3 Subsection (1) amended by No. 91 of 1999, s. 33, Applied:15 Dec 1999] regulations means regulations made and in force under this Act;retiring benefit means a benefit payable under Division 2 of Part IV ;[Section 3 Subsection (1) amended by No. 18 of 1999, s. 18, Applied:14 May 1999] spouse of a person includes another person who although not legally married to the person (a) lives with the person; and(b) is generally recognised as the de facto husband or wife of the person;[Section 3 Subsection (1) amended by No. 18 of 1999, s. 18, Applied:14 May 1999] surcharge liability means liability for tax or interest under the law of the Commonwealth arising from an entitlement to a benefit under this Act;[Section 3 Subsection (1) amended by No. 18 of 1999, s. 18, Applied:14 May 1999] surchargeable contributions debt account means an account established under section 19AD ;[Section 3 Subsection (1) amended by No. 18 of 1999, s. 18, Applied:14 May 1999] Taxation Commissioner means the person who is holding office or acting in the office of the Commissioner of Taxation under the Income Tax Assessment Act 1936 of the Commonwealth, as amended;termination benefit means a benefit payable under Division 4 of Part IV ;Trust means the Parliamentary Superannuation and Retiring Benefits Trust established under the Parliamentary Superannuation Act 1973 ;trustee means one of the trustees who constitute the Trust.(2) [Section 3 Subsection (2) substituted by No. 18 of 1999, s. 18, Applied:14 May 1999] The Governor may appoint a person or organisation as an Actuary for the purposes of this Act for such period and on such terms and conditions as are specified in the instrument of appointment.(3) For the purposes of this Act, the period of service of a member shall be determined in accordance with the following provisions:(a) where a member of the House of Assembly ceases to be a member of the House by reason of the dissolution of that House or the expiry of that House by effluxion of time, he shall be deemed to remain a member until the day fixed for the taking of the poll next following the dissolution or expiry of that House;(b) subject to paragraph (a) , the actual period during which a person is a member shall be regarded as service for the purposes of this Act;(c) broken periods of a member's service shall be aggregated and credited to the member.(4) For the purposes of sections 14 (1) , 16 (1) and (2) , and 18 (1) , in calculating the number of years of service as a member, a part of a year of service shall be regarded as a full year of service.
3A. Application to members elected before 1 July 1999
[Section 3A Inserted by No. 91 of 1999, s. 34, Applied:15 Dec 1999] This Act applies only to a person who but only until he or she ceases to be a member of either House or has elected under section 9AA to cease to be subject to this Act.(a) was first elected as a member of either House on or after 12 November 1985 and before 1 July 1999; and(b) was such a member on 1 July 1999
PART II - The Parliamentary Retiring Benefits Fund
4. Parliamentary Retiring Benefits Fund
(1) For the purposes of this Act there shall be a Parliamentary Retiring Benefits Fund.(2) The Fund shall consist of (a) contributions paid by members;(b) [Section 4 Subsection (2) amended by No. 18 of 1999, Sched. 2, Applied:14 May 1999] money paid by the Minister in pursuance of this Act; and(c) income derived from the investment of money forming part of the Fund.(3) From the Fund there shall be paid all benefits provided by this Act.(4) [Section 4 Subsection (4) substituted by No. 33 of 1990, s. 12 ]The Fund shall be managed by the Trust.(5) [Section 4 Subsection (5) amended by No. 15 of 1996, s. 3 ]The Fund is liable to taxation imposed by or under any law of the State.
[Section 5 Substituted by No. 48 of 1991, s. 39 ](1) [Section 5 Subsection (1) substituted by No. 5 of 1995, s. 13 ]Money standing to the credit of the Fund may be invested by the Trust by arrangement with the Retirement Benefits Fund Board or directly with any investment manager in any manner which the Trust thinks fit.(2) The Trust may engage such managers, financial and legal advisers and other experts in and in relation to the management of the investments of the Fund as it considers necessary.(3) The Trust may authorize an investment manager to perform the powers and duties of the Trust with respect to all or part of the money of the Fund available for investment.(4) Whether or not the Trust appoints an investment manager, it must conduct a review every 12 months of its investment policy and the management and performance of its investments.(5) No part of the Fund may be lent to a person who is a member of the Fund.
6. Actuarial investigations of Fund
(1) [Section 6 Subsection (1) amended by No. 15 of 1996, s. 4 ]An investigation as to the state and sufficiency of the Fund shall be made as at 30th June 1995, and as at the expiration of each period of 3 years after that date.(2) [Section 6 Subsection (2) amended by No. 18 of 1999, Sched. 2, Applied:14 May 1999] An investigation for the purposes of this section shall be made by the Actuary who shall report the result of such an investigation to the Minister and to the Trust.(3) The Actuary in a report for the purposes of this section (a) shall determine the factor for the purposes of section 11 ; and(b) [Section 6 Subsection (3) amended by No. 18 of 1999, Sched. 2, Applied:14 May 1999] may recommend to the Minister that he pay such amounts into the Fund as the Actuary may determine to enable the Fund to meet its liabilities.(4) [Section 6 Subsection (4) amended by No. 18 of 1999, Sched. 2, Applied:14 May 1999] In addition to the investigation referred to in subsection (1) , the Actuary shall make an investigation as to the state and sufficiency of the Fund at such other times as the Minister may require.(5) [Section 6 Subsection (5) inserted by No. 18 of 1999, s. 19, Applied:14 May 1999] The Actuary, when requested by the Trust or as required under the law of the Commonwealth, must provide the Trust with such actuarial information as is necessary for the Trust to satisfy its obligations under that law.(6) [Section 6 Subsection (6) inserted by No. 18 of 1999, s. 19, Applied:14 May 1999] The Actuary, when requested by the Trust to do so, must (a) determine the notional surchargeable contributions factor for each member; and(b) advise the Trust of that factor so as to enable the Trust to meet its obligations under a Commonwealth surcharge Act.
Cheques drawn on an account containing money belonging to the Fund shall be signed by any two trustees or by a trustee and the secretary to the Trust.
[Section 8 Amended by No. 15 of 1996, s. 5 ]The accounts of the Fund are subject to audit under Part 3 of the Financial Management and Audit Act 1990 .
PART III - Contributions
(1) [Section 9 Subsection (1) amended by No. 91 of 1999, s. 35, Applied:15 Dec 1999] [Section 9 Subsection (1) amended by No. 103 of 2000, Sched. 1, Applied:13 Dec 2000] Except as provided in sections 9AA and 9AB , a member must contribute to the Fund as provided in this section.(2) A member's contributions shall comprise a sum calculated at the rate of (a) in respect of his first 20 years' service as a member 9 per cent of the annual amount for the time being of his parliamentary salary; and(b) in respect of any service after his first 20 years' service as a member 9 per cent of the annual amount for the time being of any part of his parliamentary salary that exceeds his basic salary.
9AA. Right of members to elect to cease to be subject to this Act
[Section 9AA Inserted by No. 91 of 1999, s. 36, Applied:15 Dec 1999] A member may elect, in accordance with the regulations, to cease to be subject to this Act.
9AB. Member resigning to contest another seat
[Section 9AB Inserted by No. 103 of 2000, Sched. 1, Applied:13 Dec 2000](1) A member who is taken, for the purposes of this Act, to have remained a member of the scheme established by this Act.(a) resigns from a seat in either House and within 7 days informs the Trust in writing of his or her intention to contest an election for another seat in either House; and(b) is elected at that election within 3 months after so resigning (2) Where a member is elected at that election (a) the period between the date of resignation and election is not counted as contributory service for the purposes of this Act; and(b) no superannuation contributions are to be made to the Fund in relation to that member in respect of the period between resignation and the date of the election.(3) If the member is not elected at that election, he or she is entitled to interest on his or her benefit under this Act, in accordance with section 10A , from the date of the resignation until payment of the benefit.
9A. Member accounts for contributions
[Section 9A Inserted by No. 18 of 1999, s. 20, Applied:14 May 1999] The Trust is to establish an account for every member and credit to that account the member's contributions together with any interest payable under section 10A .
10. Deductions of contributions from salaries of members
(1) [Section 10 Subsection (1) amended by No. 48 of 1991, s. 40 ]A member's contributions shall be made by way of deduction from each instalment of parliamentary salary that becomes payable to him, commencing with the first instalment paid after he becomes a member and ceasing when the member attains the age of 65 years or ceases to be a member, whichever is the earlier.(1A) [Section 10 Subsection (1A) inserted by No. 15 of 1996, s. 6 ][Section 10 Subsection (1A) amended by No. 18 of 1999, s. 21, Applied:14 May 1999] A member may elect, by notice in writing given to the Trust, that he or she will make contributions in respect of his or her service after the age of 65 years in accordance with section 9(2) .(1B) [Section 10 Subsection (1B) inserted by No. 15 of 1996, s. 6 ]An election under subsection (1A) must be made within such period as the Trust may allow.(1BA) [Section 10 Subsection (1BA) inserted by No. 18 of 1999, s. 21, Applied:14 May 1999] A member who has made an election under subsection (1A) may, at any time, revoke that election by notice in writing to the Trust.(1C) [Section 10 Subsection (1C) inserted by No. 15 of 1996, s. 6 ]The contributions in respect of a member who has made an election under subsection (1A) cease to be payable whichever first occurs.(a) when the member attains the age of 70 years; or(b) when he or she ceases to be a member; or(c) [Section 10 Subsection (1C) amended by No. 18 of 1999, s. 21, Applied:14 May 1999] when he or she revokes the election (1D) [Section 10 Subsection (1D) inserted by No. 15 of 1996, s. 6 ]A member who has ceased to make contributions as mentioned in subsection (1) and has elected under subsection (1A) to make contributions, must recommence paying contributions from a date fixed by the Trust, unless he or she has attained the age of 70 years.(1E) [Section 10 Subsection (1E) inserted by No. 15 of 1996, s. 6 ]A member who on being re-elected as a member when over the age of 65 years, did not make contributions as mentioned in subsection (1) and who makes an election under subsection (1A) must recommence paying contributions from a date fixed by the Trust, unless he or she has attained the age of 70 years.(1F) [Section 10 Subsection (1F) inserted by No. 15 of 1996, s. 6 ]A member who has made an election under subsection (1A) must pay contributions in respect of his or her service for which no contributions have been made within such period as the Trust may allow together with interest at such rate as the Trust may determine.(2) So far as is practicable the deductions made in respect of a member shall be equal in amount.(3) All deductions so made shall be paid into the Fund.
10A. Interest on contributions
[Section 10A Inserted by No. 33 of 1990, s. 13 ](1) A member who makes contributions to the Fund pursuant to section 9 is entitled to the payment of interest on the amount of those contributions.(2) For the purposes of subsection (1) (a) the interest on the amount of contributions shall be at such rate and be subject to such conditions as the Trust, on the advice of the Actuary, determines; and(b) the interest in respect of (i) contributions paid before 1 July 1990 accrues on and after that day; and(ii) contributions paid on or after 1 July 1990 accrues on and after the day on which those contributions are paid; and(c) the interest ceases to accrue on the day that the Trust advises the contributor of the amount of any refund to which the contributor is entitled pursuant to section 18 (a) .
10B. Contributions and interest vest in member
[Section 10B Inserted by No. 33 of 1990, s. 13 ]Contributions made by a member, and any interest allocated to those contributions under section 10A , vest in the member.
10C. Voluntary contributions and spouse contributions
[Section 10C Inserted by No. 91 of 1999, s. 37, Applied:15 Dec 1999] A member may elect, in writing to the RBF Board, to make voluntary contributions or spouse contributions to the accumulation scheme or an investment account established by the regulations under the Retirement Benefits Act 1993 .
(1) [Section 11 Subsection (1) amended by No. 18 of 1999, Sched. 2, Applied:14 May 1999] The Minister shall, in respect of each member, pay into the Fund a contribution comprising an amount equal to the member's contributions from time to time multiplied by the factor of 2·5 or such other factor as the Actuary may from time to time determine.(2) [Section 11 Subsection (2) amended by No. 18 of 1999, Sched. 2, Applied:14 May 1999] The Minister shall pay into the Fund such additional amounts as the Actuary may recommend from time to time under section 6 (3) .(3) [Section 11 Subsection (3) amended by No. 68 of 1994, s. 3 and Sched. 1 ][Section 11 Subsection (3) amended by No. 18 of 1999, Sched. 2, Applied:14 May 1999] Payments required by this Act to be made by the Minister into the Fund shall be a charge on the Consolidated Fund, and shall be payable out of the Consolidated Fund without further appropriation than this section.(4) [Section 11 Subsection (4) amended by No. 18 of 1999, Sched. 2, Applied:14 May 1999] Payments required to be made by the Minister under subsection (1) shall be paid on the same day as the contributions of members are paid into the Fund.(5) [Section 11 Subsection (5) amended by No. 18 of 1999, Sched. 2, Applied:14 May 1999] Payments required to be paid into the Fund by the Minister under subsection (2) shall be paid within such period as the Minister and the Trust may agree.
PART IV - Benefits
Division 1 - Preliminary
[Section 11A Inserted by No. 18 of 1999, s. 22, Applied:14 May 1999] This Part is subject to Part IVA .
12. Calculation of final salary
For the purposes of this Part, the final salary of a member shall be determined in the following manner:(a) in the case of a member who has not, during any time in his period of service as a member, been in receipt of an additional salary the basic salary payable to the member at the date that his service as a member ceased;(b) in the case of a member who has, at some time in his period of service as a member, been in receipt of an additional salary an amount calculated in accordance with the following formula:where FS is the final salary to be calculated;A is the basic salary payable to the member at the date that his service as a member ceased;B is the total parliamentary salary that would have been received by the member during his period of service as a member calculated at the rates applicable at the date that his service as a member ceased; andC is the total basic salary that would have been received by the member during his period of service as a member calculated at the rate applicable at the date that his service as a member ceased.
Division 2 - Retiring benefits
13. Eligibility for retiring benefit
(1) A member is entitled to be paid a retiring benefit if (a) he has completed not less than 15 years' service as a member and he ceases, for any reason, to be a member;(b) [Section 13 Subsection (1) amended by No. 18 of 1999, s. 23, Applied:14 May 1999] he has completed not less than 8 years' service as a member but has not completed 15 years' service, and he ceases to be a member by reason of the expiration of his term of office as a member or of his election having been declared void as referred to in section 225(2) of the Electoral Act 1985 or, in the case of a member of the House of Assembly, by reason of the dissolution or expiry of that House or of his seat having become vacant by virtue of section 231 of the Electoral Act 1985 and he (i) is not a candidate, at the next ensuing election for the electoral division that he represented immediately before ceasing to be a member, for election to represent that division, or, if an election is held at the same time for any other electoral division for either House, for election to represent that other division and the Trust certifies that it is satisfied that his failure to be a candidate was due to his failure to secure the support of a political party from which he reasonably sought support or to his expulsion from a political party;(ii) is a candidate at that election but is defeated at that election; or(iii) is not a candidate at that election for reasons that the Trust certifies in writing to be reasons that appear to it to be good and sufficient;(c) subject to subsection (2) , he has completed 8 years' service as a member but has not completed 15 years' service and he ceases to be a member by reason of his resignation for the purpose of becoming a candidate at an election for an electoral division other than the electoral division that he represented immediately before ceasing to be a member and he is defeated at that election; or(d) he has completed not less than 8 years' service as a member but has not completed 15 years' service, and he ceases to be a member by reason of his resignation (i) after he has attained the age of 60 years; or(ii) in any other circumstances that the Trust considers, and certifies in writing, to be sufficient.(2) A member is not entitled to be paid a retiring benefit under paragraph (c) of subsection (1) unless the election referred to in that paragraph is held not later than 3 months after the date on which he ceased to be a member.
14. Payment of retiring benefit
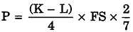
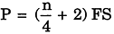
(1) [Section 14 Subsection (1) amended by No. 48 of 1991, s. 41 ][Section 14 Subsection (1) amended by No. 15 of 1996, s. 7 ]The Trust shall, out of the Fund, pay to a person who and who in either case is entitled to a retiring benefit a lump sum payment calculated in accordance with the following formula:where (a) is under the age of 65 years; or(b) has attained the age of 65 years but not the age of 70 years and has made an election under section 10 (1A) P is the amount to be paid;n is the number of years of service of the member; andFS is the final salary of the member determined in accordance with section 12 .(2) In calculating the amount referred to in subsection (1) , "n" shall not exceed 20.(3) [Section 14 Subsection (3) inserted by No. 48 of 1991, s. 41 ][Section 14 Subsection (3) amended by No. 15 of 1996, s. 7 ]The Trust must, out of the Fund, pay to a person who and who is entitled to a retiring benefit a lump sum payment calculated in accordance with subsection (1) less an amount calculated in accordance with the following formula:where (a) has attained the age of 65 years; and(b) has not made contributions in respect of his or her service as a member after that age P is the amount to be paid; andK is the total years of service, not exceeding 20, of that person as a member; andL is that person's years of service, not exceeding 20, at the age of 65 years; andFS is the final salary of that person determined in accordance with section 12 .(4) [Section 14 Subsection (4) inserted by No. 15 of 1996, s. 7 ]The Trust must, out of the Fund, pay to a person who a lump sum payment calculated in accordance with subsection (1) less an amount calculated in accordance with the following formula:where (a) has attained the age of 70 years; and(b) has made an election under section 10 (1A) ; and(c) is entitled to a retiring benefit D is the amount to be deducted; andK is the total years of service, not exceeding 20, of that person as a member; andL is that person's years of service, not exceeding 20, at the age of 70 years; andFS is the final salary of that person determined in accordance with section 12 .(5) [Section 14 Subsection (5) inserted by No. 15 of 1996, s. 7 ]The Trust must, out of the Fund, pay to a person who is entitled to a retiring benefit under this section and who has had 20 or more years of service as a member such further amount as it may determine on the advice of the Actuary having regard to (a) the benefit which may be attributed to any portion of the service of the member in excess of 20 years; and(b) the minimum benefits prescribed under the Superannuation Guarantee (Administration) Act 1992 of the Commonwealth.
Division 3 - Death or invalidity benefit
15. Eligibility for death or invalidity benefit
[Section 15 Substituted by No. 15 of 1996, s. 8 ](1) A member is entitled to be paid an invalidity benefit if (a) the Trust is satisfied, on the report of a duly qualified medical practitioner appointed by the Trust, that the member has been rendered totally and permanently incapable of performing the duties of a member, by reason of ill-health or physical incapacity or mental incapacity; and(b) the member ceases to be a member.(1A) [Section 15 Subsection (1A) inserted by No. 91 of 1999, s. 38, Applied:15 Dec 1999] A member is not entitled to be paid an invalidity benefit unless he or she makes application, in writing to the Trust, for such a benefit while still a member and the Trust has made a determination while the applicant is still a member.(2) On the death of a member, a death benefit is payable, subject to subsection (3) , to the spouse of the member or to his or her personal representatives, as the Trust may determine.(3) A death benefit is not payable to a spouse if, at the time of the member's death (a) the spouse was living apart from the member; and(b) the Trust is satisfied, after making due enquiry, that the spouse was not receiving any significant financial support from the member.
16. Payment of death or invalidity benefit
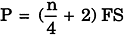
(1) [Section 16 Subsection (1) amended by No. 91 of 1999, s. 39, Applied:15 Dec 1999] If a member dies, or the Trust is satisfied of the matters referred to in section 15 , and the member ceases to be a member before the member attains the age of 60 years, the Trust shall pay out of the Fund in respect of the member a lump sum payment calculated in accordance with the following formula:where P is the amount to be paid;n is the number of years service the member would have served if he had attained the age of 60 and still been a member; andFS is the final salary of the member determined in accordance with section 12 .(2) [Section 16 Subsection (2) amended by No. 91 of 1999, s. 39, Applied:15 Dec 1999] If a member dies, or the Trust is satisfied of the matters referred to in section 15 and the member ceases to be a member on or after the member attaining the age of 60 years, the Trust shall pay out of the Fund in respect of the member a lump sum payment calculated in accordance with the following formula:where P and FS have the meanings assigned to those symbols in subsection (1) ; and[Section 16 Subsection (2) amended by No. 91 of 1999, s. 39, Applied:15 Dec 1999] n is the number of years served by the member on the date that he died or the date on which the duly qualified medical practitioner referred to in section 15 certifies in his report the matters referred to in that paragraph.(3) In calculating the amounts referred to in subsections (1) and (2) , "n" shall not exceed 20.(4) [Section 16 Subsection (4) inserted by No. 15 of 1996, s. 9 ]The Trust must, out of the Fund, pay to a person who is entitled to a death or invalidity benefit under subsection (1) in respect of a member who served 20 or more years as a member such further amount as it may determine on the advice of the Actuary having regard to (a) the benefit which may be attributed to any portion of the service of the member in excess of 20 years; and(b) the minimum benefits prescribed under the Superannuation Guarantee (Administration) Act 1992 of the Commonwealth.
Division 4 - Termination benefits
17. Eligibility for termination benefit
A person who ceases to be a member and who is not entitled to a retiring benefit or a death or invalidity benefit is entitled to a termination benefit.
18. Payment of termination benefit
[Section 18 Substituted by No. 15 of 1996, s. 10 ](1) Subject to subsection (2) , the Trust must pay out of the Fund to a person who is eligible for a termination payment a lump sum payment to be calculated in accordance with whichever of the following formulae provides the greater benefit:(a) _where P is the amount to be paid; andn is the number of years service of the member (not exceeding 10); andC is the total of the member's contributions made during the member's period of service;(b) _where P is the amount to be paid; andE is the total contributions and accrued interest as at the date when the member's service is terminated; andD is the total contributions and accrued interest as at 1 July 1992 together with interest on that amount as provided in section 10A to the date when the member's service is terminated; andr is whichever of the following numbers is applicable at the date when the person ceases to be a member:
6 until 30 June 1998
7 during the period 1 July 1998 to 30 June 2000
8 during the period 1 July 2000 to 30 June 2002
9 after 1 July 2002.
(2) If the person eligible for a termination payment has first or again become a member after the age of 65 years, the lump sum is to be calculated in accordance with the formula in subsection (1) (b) as if that person had paid contributions for the whole of the period of his or her service.(3) Where a termination benefit is payable to a person who has not paid contributions in respect of a period of service after the age of 65 years, that benefit is to be reduced by an amount representing (a) the sum of the contributions taken to have been paid under subsection (2) ; and(b) the interest that would have been payable on those contributions.
Division 5 - Benefit payable to former member who again becomes a member
19. Benefit payable to former member who again becomes a member
(1) [Section 19 Subsection (1) substituted by No. 91 of 1999, s. 40, Applied:15 Dec 1999] If a person who was a member before 1 July 1999 and was paid a benefit under this Act again became a member before that date, that person, on ceasing to be a member, is entitled to a benefit under this Act.(2) For the purpose of calculating the benefit to which a person referred to in subsection (1) is entitled (a) any period served by that person before again becoming a member shall be taken into account; and(b) the benefit which he would, but for this section, have been entitled to be paid under this Act shall be reduced by the adjusted benefit.(3) For the purposes of subsection (2) (b) adjusted benefit means the benefit paid to a person in respect of his service as a member before again becoming a member multiplied by the ratio of the basic salary payable on his ceasing to be a member to the basic salary payable on the date on which the benefit in respect of his service as a member before again becoming a member was paid.
Division 6 - Allocated pensions[Division 6 of Part IV Inserted by No. 91 of 1999, s. 41, Applied:15 Dec 1999]
19AAA. Lump sum benefit may be taken as allocated pension
[Section 19AAA of Part IV Inserted by No. 91 of 1999, s. 41, Applied:15 Dec 1999] Where a member or the widow or widower of a former member is in receipt of a lump sum benefit, he or she may elect to transfer all or part of that benefit to the accumulation scheme or an allocated pension account established by the regulations under the Retirement Benefits Act 1993 .
PART IVA - Taxation and payment of benefits[Part IVA Inserted by No. 18 of 1999, s. 24, Applied:14 May 1999]
19AA. Calculation of notional contributions surcharge amount
[Section 19AA Inserted by No. 18 of 1999, s. 24, Applied:14 May 1999] For the purposes of this Part, the Trust must calculate for each member a notional contributions surcharge amount having regard to his or her parliamentary salary and the notional surchargeable contributions factor advised by the Actuary as required by the law of the Commonwealth or this Act.
19AB. Benefit subject to taxation
[Section 19AB Inserted by No. 18 of 1999, s. 24, Applied:14 May 1999](1) A benefit payable under this Act is to be treated by the Trust for the purposes of taxation under the law of the Commonwealth as an eligible termination payment emanating from a taxed source.(2) The Trust must deduct from a benefit entitlement any amount required to be paid as taxation under the law of the Commonwealth and must remit that amount to the Taxation Commissioner.
19AC. Provision of certain information by Trust
[Section 19AC Inserted by No. 18 of 1999, s. 24, Applied:14 May 1999](1) The Trust must provide the Actuary with such information in respect of a member as may be necessary for the purposes of this Part.(2) The Trust must provide the Taxation Commissioner, as required by the law of the Commonwealth, with particulars of the notional contributions surcharge amount in respect of each member.(3) The Trust is to give to each member a copy of the particulars provided to the Taxation Commissioner under subsection (2) relating to that member together with details of how the amount was calculated.(4) If a member believes that the amount referred to in subsection (2) is incorrect owing to either a miscalculation of matters ascertained by the Actuary or a mistake of fact, the member may by notice in writing to the Trust (a) request that the calculation of the amount be reviewed; and(b) request the Trust to consider any evidence which he or she may submit to it.
19AD. Establishment of surchargeable contributions debt account
[Section 19AD Inserted by No. 18 of 1999, s. 24, Applied:14 May 1999](1) On receipt of the first assessment notice from the Taxation Commissioner in respect of a member, the Trust must establish a surchargeable contributions debt account in respect of that member.(2) The Trust must, within one month after the day on which the assessment notice from the Taxation Commissioner is received, pay to the Taxation Commissioner the amount of the surcharge liability specified in the notice in respect of that member.(3) The Trust must debit the surchargeable contributions debt account with the amount of any surcharge liability specified in the assessment notice relating to the member.(4) If the surchargeable contributions debt account is in debit at the end of a financial year, the Trust must debit the account with interest at the rate determined under section 10A .(5) The Trust, at least annually, must inform each member of the balance of his or her surchargeable contributions debt account and of any debits or credits, including interest, to that account.
19AE. Right of members to pay into surchargeable contributions debt account
[Section 19AE Inserted by No. 18 of 1999, s. 24, Applied:14 May 1999](1) A member may make payments to his or her surchargeable contributions debt account to reduce in full or in part the balance of that account.(2) A payment made under subsection (1) by a member is taken not to be a contribution for the purposes of the law of the Commonwealth.(3) On receipt of a payment under this section, the Trust must (a) credit the surchargeable contributions debt account with that amount; and(b) take any other action required under the law of the Commonwealth.
[Section 19AF Inserted by No. 18 of 1999, s. 24, Applied:14 May 1999] A benefit payable under this Act is to be reduced, at the time of payment by the Trust, to the extent of the balance of the surchargeable contributions debt account of the relevant member.
19AG. Trust to act on assessment notice
[Section 19AG Inserted by No. 18 of 1999, s. 24, Applied:14 May 1999] For the purposes of adjusting a members surchargeable contributions debt account, the Trust must act on any assessment notice relating to that members surcharge liability received from the Taxation Commissioner and make a debit or credit to that account, as the case may require.
PART V - Miscellaneous
19A. Application of Commonwealth superannuation principles
[Section 19A Inserted by No. 33 of 1990, s. 15 ][Section 19A Amended by No. 15 of 1996, s. 11 ][Section 19A Substituted by No. 103 of 2000, Sched. 1, Applied:13 Dec 2000] The Trust is to comply with the principles outlined in the Heads of Government Agreement made on 28 May 1996 between the Commonwealth and Tasmania, as amended from time to time, as if those principles were included in this Act.
20. Periods within which benefits payable
The Trust shall pay any benefit payable under this Act (a) in the case of a retiring benefit or a termination benefit, within 28 days of the member ceasing to be a member; or(b) in the case of a death or invalidity benefit, within 28 days of the member dying or ceasing to be a member, as the case may be.
21. Power of Trust to recover amounts overpaid or paid in error
Any amount overpaid or paid in error to a person as a benefit under this Act may be recovered from that person by the Trust in a court of competent jurisdiction as a debt due to the Trust.
(1) Any dispute under this Act shall be determined in the first instance by the Trust.(2) A person who is aggrieved by a decision of the Trust may appeal to the Supreme Court in accordance with the Rules of Court under the Supreme Court Civil Procedure Act 1932 relating to appeals from statutory tribunals other than courts.(3) The Supreme Court has jurisdiction to hear and determine appeals under subsection (2) .
23. Payment otherwise than to person entitled
Where in the opinion of the Trust, payment of a benefit should be made to a person other than the person entitled to the benefit, the Trust may make the payment to that other person on such conditions as it thinks fit.
The costs of the administration of this Act shall be defrayed out of the Fund.
(1) [Section 25 Subsection (1) amended by No. 15 of 1996, s. 12 ]The Governor may make regulations for the purposes of this Act.(2) [Section 25 Subsection (2) inserted by No. 15 of 1996, s. 12 ]Without limiting subsection (1) or section 22 , the regulations may (a) provide for the procedure to be followed in determining a dispute under this Act; and(b) provide that a person aggrieved by a decision of the Trust may, on payment of a prescribed fee, require it to apply to the Supreme Court for a declaration as to the validity of its decision; and(c) provide for the powers of the Supreme Court on any such application; and(d) [Section 25 Subsection (2) amended by No. 91 of 1999, s. 42, Applied:15 Dec 1999] provide for the costs of the proceedings in the Supreme Court; and(e) [Section 25 Subsection (2) amended by No. 91 of 1999, s. 42, Applied:15 Dec 1999] provide for the manner in which members may elect to cease to be subject to this Act; and(f) [Section 25 Subsection (2) amended by No. 91 of 1999, s. 42, Applied:15 Dec 1999] provide for the transfer of entitlements of those members.
26. Transitional superannuation provision
[Section 26 Inserted by No. 91 of 1999, s. 43, Applied:15 Dec 1999](1) Where a person was elected as a member of either House after 1 July 1999 and before the commencement of the Superannuation (Parliament, Judiciary and Statutory Legal Officers) Reform Act 1999 , the amounts specified in subsection (4) are to be transferred to a complying superannuation scheme nominated by the person, which may include an investment account established by the regulations under the Retirement Benefits Act 1993 .(2) A person may make a nomination under subsection (1) to the Trust within one month after the commencement of the Superannuation (Parliament, Judiciary and Statutory Legal Officers) Reform Act 1999 but, if no such nomination is made within that period, the person is taken to have elected to transfer the amounts specified in subsection (4) to an investment account established by the regulations under the Retirement Benefits Act 1993 .(3) The investment account referred to in subsection (2) is to be an account determined by the RBF Board.(4) The amounts to be transferred from the Fund in accordance with this section are as follows:(a) all contributions made by the person under this Act, together with interest on those contributions at a rate determined by the Trust;(b) with respect to the period from his or her election as a member of the House until the date on which the amount is transferred in accordance with subsection (2) , an amount equal to 9% of his or her salary determined in accordance with section 4 of the Parliamentary Salaries, Superannuation and Allowances Act 1973 , together with interest on that amount at a rate determined by the Trust.







