Motor Vehicles Taxation Act 1981
An Act to make provision with respect to the levying, charging, assessment, and payment of tax on motor vehicles and trailers, to provide for related matters, and to repeal the Motor Vehicles Tax Act 1917
Be it enacted by His Excellency the Governor of Tasmania, by and with the advice and consent of the Legislative Council and House of Assembly, in Parliament assembled, as follows:
PART I - Preliminary
This Act may be cited as the Motor Vehicles Taxation Act 1981 .
(1) Subject to subsection (2) , this Act shall commence on 1st December 1981, but if this Act does not receive the Royal Assent on or before that date, it shall be deemed to have commenced on that date.(2) Where an application for registration or for renewal of registration of a motor vehicle or trailer is made under the Traffic Act 1925 after 3rd November 1981 but before 1st December 1981 and the vehicle or trailer would not become registered, or the registration of the vehicle or trailer would not be renewed, until 1st December 1981 or a later date, this Act nevertheless applies to and in relation to the application as if this Act had commenced at the time when the application was made.
[Section 3 Subsection (1) amended by No. 20 of 1996, s. 4 ](1) [Section 3 Subsection (1) amended by No. 87 of 1996, s. 4 ]In this Act, except in so far as the context or subject-matter otherwise indicates or requires articulated vehicle means a vehicle consisting of a motor vehicle and trailer where the trailer is pivoted to, and part of which (not being a pole, drawbar, or similar device) is superimposed on, the motor vehicle;authorized officer means a person who is an authorized officer within the meaning of section 3 (1) of the Traffic Act 1925 ;axle means one or more shafts positioned in a line across a vehicle on which one or more of the wheels intended to support the vehicle turn;bus means a motor vehicle that (a) is designed and constructed to carry people; and(b) has a seating capacity of more than 9 adults, including the driver;camper van means a motor vehicle that is constructed principally for use as a dwelling;class A vehicle means (a) a motor car;(b) a camper van; or(c) a commercial goods vehicle which has a gross vehicle mass or a gross combination mass less than 3 tonnes;combination means a motor vehicle connected to one or more trailers;commercial goods vehicle means a motor vehicle that is used or designed to be used for the carriage of goods, and includes a utility truck;Commission means the Transport Commission incorporated under section 4 of the Transport Act 1981 ;GCM means the gross combination mass of a motor vehicle as determined for the time being under section 11B or 11C of the Traffic Act 1925 ;goods has the meaning assigned to that expression by section 3 (1) of the Traffic Act 1925 ;GTM means the gross trailer mass of a trailer as determined for the time being under section 11A of the Traffic Act 1925GVM means the gross vehicle mass of a motor vehicle as determined for the time being under section 11B or 11C of the Traffic Act 1925heavy vehicle mean (a) a trailer with a GTM exceeding 4.5 tonnes; or(b) a vehicle with a GVM exceeding 4.5 tonnes;interchangeable trailer means a trailer of a prescribed class;light vehicle means (a) a trailer with a GTM not exceeding 4.5 tonnes; or(b) a vehicle with a GVM not exceeding 4.5 tonnes;motor car means a motor vehicle constructed to be used primarily for the carriage of persons, but does not include a bus or a motor cycle;motor cycle has the meaning assigned to that expression by the Traffic Act 1925 ;motor registry means any place appointed under the Traffic Act 1925 for the registration of motor vehicles and the licensing of drivers of motor vehicles by the Traffic Act 1925 ;motor vehicle has the meaning assigned to that expression by the Traffic Act 1925 ;operating mass, in relation to a trailer, means (a) if the manufacturer of the trailer has affixed a compliance plate to the trailer showing its GTM or GVM that mass; or(b) if a manufacturer's compliance plate is not so affixed the GTM or GVM specified by the Commission under section 11A(4)(b) of the Traffic Act 1925 ;owner, in relation to a motor vehicle or trailer, means (a) in the case of a registered motor vehicle or registered trailer, the person registered in the record of motor vehicles and trailers kept in accordance with section 11 of the Traffic Act 1925 as the owner of that motor vehicle or trailer; or(b) in the case of a motor vehicle or trailer which is not registered (i) except where subparagraph (ii) applies the person who is the actual owner of the motor vehicle or trailer; or(ii) where the vehicle or trailer is in the possession of a person as hirer or lessee under a hire-purchase agreement or a lease that person; or(iii) any person to whom the vehicle or trailer has been sold or otherwise disposed of by a previous registered owner who has complied with the applicable provisions of the Traffic Act 1925 relating to the sale or disposal; or(iv) any other person who the Commission reasonably believes is any such owner of the vehicle or trailer;plant trailer means a trailer, other than a semi-trailer, that (a) has a GTM exceeding 4.5 tonnes but not exceeding 10 tonnes; and(b) is designed and constructed, and used by its owner, for the purpose of carrying a backhoe, bobcat or other machine that is owned and used by the owner of the trailer;prime mover means a motor vehicle designed and constructed to tow a semi-trailer;public street has the meaning assigned to that expression by the Traffic Act 1925 ;public vehicle means a vehicle that, under section 14AB(2) of the Traffic Act 1925 , is deemed to be a public vehicle;registered means registered under the Traffic Act 1925 ;the regulations means regulations made and in force under this Act;semi-trailer means a trailer with (a) one axle group or a single axle toward the rear; and(b) a means of attachment to a prime mover such that, if so attached, some of the load would be imposed on the prime mover;standard vehicle registration period has the same meaning as in the Traffic Act 1925 ;tax, in relation to a motor vehicle or trailer, means tax which is or may be charged, assessed, levied, or paid in respect of the vehicle or trailer in accordance with this Act;temporary upgrade permit means a permit issued by the Commission under section 7B ;trailer has the meaning assigned to that expression by the Traffic Act 1925 ;war service means any service which is declared under subsection (4) to be war service for the purposes of this Act;work vehicle has the meaning assigned to that expression by the Traffic Act 1925 .(2) For the purposes of the definition of "owner" in subsection (1) , a reference to a lease in relation to a motor vehicle or trailer is a reference to a lease for a period which exceeds, or for periods which together exceed, 1 month.(3) A vehicle may be a trailer for the purposes of this Act notwithstanding that it is enclosed and fitted out in such a way that it can be used as accommodation for persons or animals.(4) The Governor may, by proclamation published in the Gazette, declare service in a particular war or warlike operation to be war service for the purposes of this Act.
PART II - Motor Vehicle Tax
4. Amount of motor vehicle tax
[Section 4 Substituted by No. 60 of 1994, s. 3 ](1) [Section 4 Subsection (1) substituted by No. 20 of 1996, s. 5 ]Subject to subsection (2) , tax in respect of a motor vehicle or trailer used or to be used on a public street is payable to the Commission at the amount determined in respect of the motor vehicle or trailer in accordance with (a) in the case of a light vehicle Schedule 1 ; or(b) in the case of a heavy vehicle Schedule 1A .(2) [Section 4 Subsection (2) amended by No. 20 of 1996, s. 5 ]In a financial year beginning on 1 July 1995 or on 1 July in any later year, the amount of tax payable in respect of a light vehicle is the amount determined in accordance with Schedule 1 multiplied by the relevant factor.(3) If the amount of tax for a financial year is an amount of dollars and cents, the amount is to be (a) rounded down to the nearest dollar, if the number of cents is 50 or less; or(b) rounded up to the nearest dollar, if the number of cents is more than 50.(4) For the purposes of this section Consumer Price Index means (a) the All Groups Consumer Price Index for Hobart published by the Australian Bureau of Statistics; and(b) if the Consumer Price Index is suspended or discontinued, any index published by the Australian Bureau of Statistics which reflects the movements of the cost of living in Hobart;March quarter means the months of January, February and March;relevant factor, in relation to a financial year, means a factor calculated by dividing the Consumer Price Index for the March quarter preceding that financial year by the Consumer Price Index for the March quarter for 1994.
[Section 5 Subsection (4) amended by No. 20 of 1996, s. 6 ](1) Subject to subsection (2) , tax in respect of a motor vehicle or trailer is a charge on the vehicle or trailer and is payable by or recoverable from the person who is or was the owner of the motor vehicle or trailer on the date on which the tax first becomes or became payable.(2) If a person who is liable under subsection (1) to pay tax in respect of a motor vehicle or trailer has defaulted in paying that tax or the tax cannot be recovered from him and that person is no longer the owner of the vehicle or trailer, the tax is recoverable from the person who is for the time being the owner of the motor vehicle or trailer.(3) Subject to the provisions of this Act, tax in respect of a motor vehicle or trailer that is required to be registered is payable not later than the time when registration or the renewal of registration of the vehicle or trailer is effected.(4) [Section 5 Subsection (4) amended by No. 10 of 1986, s. 5 and Sched. 1 ]For the purposes of this Act, the period for which tax is payable in respect of a motor vehicle or trailer is, except as provided by subsections (5A) and (6) , the period of 12 months (a) in the case of a motor vehicle or trailer for which an application for registration is made for the first time on and from the date on which the motor vehicle or trailer is registered;(b) in the case of a motor vehicle or trailer for which an application for renewal of the registration of the vehicle or trailer is made on and from the day after the date on which the registration of the motor vehicle or trailer would otherwise have expired; or(c) in the case of a motor vehicle or trailer that is driven or used on a public street without being registered on and from the date on which it was first so driven or used.(5) For the purpose of paragraph (c) of subsection (4) , the date referred to in that paragraph shall not in any case be later than the date or, as the case may be, the first date on which it is found (whether expressly or by necessary implication) in any court proceeding (whether civil or criminal) that the motor vehicle or trailer was driven or used or, as the case may be, first driven or used on a public street.(5A) [Section 5 Subsection (5A) inserted by No. 20 of 1996, s. 6 ]The period for which tax is payable in respect of a vehicle that is registered or has its registration renewed for a period less than the standard vehicle registration period is (a) if an application is made to register the vehicle a first time for 3 months or 6 months the period of 3 months or, as the case may be, 6 months on and from the date on which the vehicle is registered; or(b) if an application is made to renew the vehicle's registration for 3 months or 6 months the period of 3 months or, as the case may be, 6 months on and from the day after the date on which the vehicle's registration would otherwise have expired.(6) [Section 5 Subsection (6) added by No. 10 of 1986, s. 5 and Sched. 1 ]Where, in pursuance of the scheme referred to in section 10 (1) (bd) of the Traffic Act 1925 , a motor vehicle or trailer is registered, or the registration of a motor vehicle or trailer is renewed, for a period other than 12 months, the period for which tax is payable in respect of the motor vehicle or trailer is the period for which the motor vehicle or trailer was registered, or for which the registration was renewed commencing on and from the date referred to in paragraph (a) , (b) , or (c) of subsection (4) , as applicable.(7) [Section 5 Subsection (7) inserted by No. 87 of 1996, s. 5 ]If a motor vehicle or trailer is unregistered and is parked, left standing or used on a public street, the person who was the last registered owner of the motor vehicle or trailer is liable to pay tax for a period not exceeding 2 years unless he or she can show that the motor vehicle or trailer was parked, left standing or used without his or her authority or consent.
(1) Subject to subsection (3) , where it appears to the Commission that a determination relating to tax payable, or to whether or not tax is payable, in respect of a motor vehicle or trailer under this Act was incorrect in some material respect, it may, for the purposes of this Act, vary or rescind the determination.(2) Where the Commission varies a determination referred to in subsection (1) so that tax or additional tax is payable in respect of a motor vehicle or trailer, it may, by notice in writing served on the person who is the owner of the vehicle or trailer, require that person to pay to the Commission the tax or additional tax within such period from the date of service of the notice (being a period not less than 14 days) as is specified in the notice.(3) A person is not liable to pay tax or additional tax as a result of the variation of a determination referred to in subsection (1) if the determination was made more than 3 years before the date of the variation and he satisfies the Commission that he did not intend to avoid the payment of tax.(4) Where the Commission varies or rescinds a determination referred to in subsection (1) so that no tax, or a reduced amount of tax, is payable in respect of a motor vehicle or trailer, it shall, within 14 days after the date of the variation or rescission of the determination, refund to the person who is the owner of the vehicle or trailer the tax which was levied and paid in respect of the vehicle or, as the case may be, the amount by which the tax which was levied and paid in respect of the vehicle or trailer exceeds the reduced amount of tax.
7. Notice of alteration and additional tax
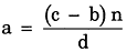
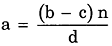
(1) Where during the currency of the registration of a motor vehicle there is an alteration of a kind prescribed in the regulations, whether temporary or otherwise, in the construction, equipment, or use of the vehicle, the owner of the vehicle shall, by notice in writing, inform the Commission of the alteration within 14 days after the alteration is effected.(2) [Section 7 Subsection (2) amended by No. 13 of 1987, s. 5 and Sched. 1 ]An owner of a motor vehicle who, without reasonable excuse, fails to comply with subsection (1) is guilty of an offence and is liable on summary conviction to a penalty not exceeding 5 penalty units.(3) [Section 7 Subsection (3) amended by No. 10 of 1986, s. 5 and Sched. 1 ]Where the Commission receives a notice under subsection (1) and it appears that the tax payable in respect of the vehicle as altered would be less than that which was actually paid in respect of the vehicle, it shall refund to the owner an amount calculated in accordance with the following formula:where a is the amount to be calculated;b is the tax which would have been payable in respect of the vehicle if the alteration had been affected on the day on which the vehicle was registered or, as the case may be, the registration of the vehicle was last renewed;c is the tax paid in respect of the vehicle;d is the number of days in respect of the period for which tax was paid; andn is the number of days remaining of the period for which tax has been paid in respect of the vehicle on the date on which the notice under subsection (1) was received.(4) [Section 7 Subsection (4) amended by No. 10 of 1986, s. 5 and Sched. 1 ]Where the Commission receives a notice under subsection (1) and it appears that the tax payable in respect of the vehicle would be more than that which was actually paid in respect of the vehicle, it may serve on the owner a notice requiring him to pay to the Commission within 14 days after the service of the notice an amount calculated in accordance with the following formula:where a, b, c, d, and n have the meanings assigned to those symbols in subsection (3) .(5) [Section 7 Subsection (5) omitted by No. 20 of 1996, s. 7 ]. . . . . . . .
7A. Applications for temporary upgrade permits
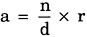
(1) In this section nomination means a nomination under section 11A(2) of the Traffic Act 1925non-towing vehicle means a rigid heavy vehicle that is subject to a nomination that it will not be used as part of a combination having a trailer with a GTM exceeding 4.5 tonnes.(2) The owner of a non-towing vehicle may apply to the Commission for a temporary upgrade permit in respect of that vehicle.(3) A temporary upgrade permit enables the non-towing vehicle in respect of which it is used to be used as a towing vehicle, despite the nomination made in relation to the vehicle, for such period of not less than 30 days as is specified in the permit.(4) The application for the temporary upgrade permit is to be (a) in a form approved by the Commission; and(b) accompanied by the prescribed fee; and(c) accompanied by the required additional tax; and(d) accompanied by such information or evidence as the Commission requires.(5) For the purposes of subsection (4) (c) , the required additional tax is to be calculated in accordance with the following formula:where a is the amount of the required additional tax; andt is the amount of tax that would have been payable in respect of the vehicle when it was registered or, if applicable, its registration was last renewed if it were not subject to the non-towing nomination, calculated as a daily rate; andp is the amount of tax actually paid in respect of the vehicle as a non-towing vehicle when it was registered or, if applicable, its registration was last renewed, calculated as a daily rate; andd is the number of days for which the permit is required.(6) The Commission may require the applicant to provide further information or evidence as it considers necessary in order to consider the application.
7B. Issue and control of temporary upgrade permits
(1) The Commission may, on receipt of an application in accordance with section 7A , issue the applicant with a temporary upgrade permit in respect of the non-towing vehicle that is the subject of the application.(2) The Commission may make a proportional refund of the tax paid under section 7A (4) (c) if it issues the permit for a period less than the period applied for.(3) The permit is to be in such form as the Commission determines.(4) The permit is subject to such terms and conditions relating to the use of the non-towing vehicle under the permit as the Commission reasonably determines and specifies in the permit.(5) The Commission may require evidence of the permit to be displayed on the non-towing vehicle in such manner and at such times as the Commission determines and it may issue the permit holder with a distinctive label for that purpose.(6) The permit may be surrendered at any time and, on surrender, the Commission is to give the person who held the permit a proportional refund of the tax paid by that person under section 7A (4) (c) .(7) The permit is not transferable to any person or vehicle.(8) The Commission may cancel or temporarily suspend the permit without providing any refund if satisfied, after hearing the holder of the permit, that (a) the non-towing vehicle in respect of which the permit relates has been used in contravention of the terms and conditions of the permit; or(b) the holder of the permit has breached those terms and conditions.(9) The Commission may issue a duplicate permit, or a duplicate distinctive label, if satisfied that the original permit or label has been lost or destroyed.
7C. Offences in relation to temporary upgrade permits
(1) A person who owns a non-towing vehicle must not drive or use that vehicle on a public street, or cause or allow that vehicle to be used on a public street, for the purpose of towing a trailer with a GTM exceeding 4.5 tonnes unless that person is the holder of a temporary upgrade permit in respect of that non-towing vehicle.Penalty: Fine not exceeding 10 penalty units.(2) The holder of a temporary upgrade permit must keep it with the vehicle in respect of which it has been issued.Penalty: Fine not exceeding 5 penalty units.(3) A person who is driving or using a non-towing vehicle in respect of which a temporary upgrade permit is in force must, if the vehicle is towing a trailer with a GTM exceeding 4.5 tonnes, produce that permit for inspection by an authorized officer on demand.Penalty: Fine not exceeding 5 penalty units.
PART III - Exemptions, Rebates, and Refunds[Section 7 Subsection (7A) inserted by No. 20 of 1996, s. 8 ]
[Section 8 Amended by No. 20 of 1996, s. 9 ][Section 8 Amended by No. 20 of 1995, s. 3 and Sched. 1 ](1) [Section 8 Subsection (1) amended by No. 60 of 1994, s. 4 ]The following are exempt from tax:(a) subject to subsections (2) and (3) , a motor vehicle or trailer owned by a person who, as the result of war service (i) has sustained the loss, or has been permanently deprived of the use, of an arm, leg, hand, or foot; or(ii) is totally and permanently incapacitated;(b) a light vehicle owned by (i) the Crown;(ii) the State Fire Commission;(iii) [Section 8 Subsection (1) amended by No. 13 of 1997, Sched. 4, Applied:01 Jul 1997] a local authority; or(iv) [Section 8 Subsection (1) amended by No. 13 of 1997, Sched. 4, Applied:01 Jul 1997] subject to subsection (2AA) , a body or authority established under an Act;(v) [Section 8 Subsection (1) amended by No. 13 of 1997, Sched. 4, Applied:01 Jul 1997] . . . . . . . .(c) a bitumen laying machine, a bulldozer, an earth moving machine, an excavator, a fork-lift truck, a front-end loader, an industrial barrow, a road grader, a road roller, a rotary hoe, a shovel loader, a street sweeper, a traction engine, a traxcavator, a trench digger, a log skidder, or a log loader;(d) a tractor or self-propelled agricultural or horticultural implement or machine used exclusively for agricultural or horticultural purposes;(e) a motor vehicle or trailer designed or adapted for use, and used exclusively in or in connection with fire-fighting operations;(f) an ambulance;(g) a motor vehicle or trailer on which there is authorized or required to be used, in accordance with regulations in force under section 10 (1) (j) of the Traffic Act 1925 , number-plates issued under those regulations;(h) a motor vehicle or trailer that is not registered elsewhere than in this State and is not used in this State otherwise than for the purpose of the carriage of passengers or goods by that motor vehicle in the course of trade, commerce, or intercourse between this State and any other part of the Commonwealth;(i) a motor vehicle which is an invalid chair;(j) a trailer (i) which is a mobile air compressor, a concrete mixer, a mobile electric generator, or a mobile latrine; or(ii) which has as its primary function the performing or carrying out of any task, function, or purpose prescribed in the regulations for the purposes of this definition;(k) a trailer that (i) is designed to be installed between vehicles forming an articulated vehicle and is capable of being connected to, and partly superimposed on, the chassis of the portion of the articulated vehicle that constitutes the prime mover;(ii) is designed to have the trailing portion of the articulated vehicle connected to, and partly superimposed on, it; and(iii) is not designed for the carriage of goods.(2) [Section 8 Subsection (2) amended by No. 69 of 1983, s. 4 ]An exemption under subsection (1) (a) does not apply in respect of (a) a motor vehicle or trailer which is used for hire for the carriage of goods or passengers;(b) a motor vehicle which is designed to be used primarily for the carriage of goods or goods and passengers which has a gross vehicle mass or a gross combination mass of or exceeding 3 tonnes; or(c) a motor vehicle which is used for the carriage of more than 8 persons (exclusive of the driver).(2AA) [Section 8 Subsection (2AA) inserted by No. 60 of 1994, s. 4 ][Section 8 Subsection (2AA) amended by No. 20 of 1995, sched. 1 ]An exemption under subsection (1) (b) (iv) does not apply to a motor vehicle or trailer owned by (a) a Government Business Enterprise, within the meaning of the Government Business Enterprises Act 1995 ; or(b) [Section 8 Subsection (2AA) amended by No. 16 of 1997, Sched. 1, Applied:30 Jul 1997] . . . . . . . .(c) TT-Line Co. Pty. Ltd.; or(d) any other prescribed body or authority.(2A) [Section 8 Subsection (2A) inserted by No. 43 of 1985, s. 4 ]Where the Commission is satisfied by declaration or otherwise that that motor vehicle is exempt from tax.(a) the owner of a motor vehicle is so severely disabled as to be incapable of using public transport (other than a motor car being operated under a cab or hire-car licence issued under the Traffic Act 1925 ); or(b) the owner of a motor vehicle is the parent or guardian of a person who (i) has not attained the age of 16 years; and(ii) is so severely disabled as to be incapable of using public transport (other than a motor car being operated under a cab or hire-car licence issued under the Traffic Act 1925 ) (3) [Section 8 Subsection (3) amended by No. 43 of 1985, s. 4 ]Where a person referred to in subsection (1) (a) or (2A) owns 2 more vehicles, an exemption under subsection (1) or (2A) applies in respect of one of those vehicles only and so applies if and only if that person has lodged with the Commission a notice in writing specifying which of the vehicles he nominates as the vehicle to which the exemption is to apply.(3A) [Section 8 Subsection (3A) inserted by No. 43 of 1985, s. 4 ]An exemption under subsection (2A) in respect of a motor vehicle owned by the parent or guardian of a person referred to in paragraph (b) of that subsection shall apply only in respect of one parent or guardian of that person.(4) In subsection (3) , a reference to a vehicle is a reference to a motor vehicle or a trailer.
9. Rebates from tax for pensioners
(1) [Section 9 Subsection (1) amended by No. 20 of 1996, s. 10 ]Where the Commission is satisfied by declaration or otherwise that the Commission shall grant to that owner a rebate of two-fifths of the tax that would, but for this subsection, be payable in respect of that vehicle.(a) the owner of a commercial goods vehicle with a GVM not exceeding 4.5 tonnes is a pensioner; and(b) that owner does not intend to use that vehicle, or allow it to be used, for the purpose of any trade or business (2) Where a rebate is granted under subsection (1) in respect of a commercial goods vehicle for any period and during that period the entitlement to a rebate ceases.(a) the owner of the vehicle ceases to be a pensioner or a person who is not a pensioner becomes the owner of the vehicle; or(b) the vehicle is used or let on hire for the purposes of any trade or business (3) [Section 9 Subsection (3) amended by No. 20 of 1996, s. 10 ]For the purposes of this section, a pensioner means a person who is in receipt of (a) an age pension, an invalid pension, a wife's pension, a widow's pension, or a supporting parent's benefit payable under the Social Security Act 1991 of the Commonwealth;(b) a pension payable under the Repatriation Act 1920 of the Commonwealth in respect of age or permanent unemployability; or(c) a pension payable under the Repatriation Act 1920 of the Commonwealth (i) to a widow who has attained the age of 60 years; or(ii) to the widow of a person who had, immediately before his death, been in receipt of a pension under that Act in respect of permanent unemployability.
10. Rebates from tax for farm vehicles
(1) Where the Commission is satisfied by declaration or otherwise that the owner of a commercial goods vehicle is engaged in farming or horticulture and that that owner the Commission may grant to the owner of that vehicle in such cases and subject to such conditions as may be prescribed in the regulations a rebate of two-fifths of the tax that would otherwise be payable in respect of that vehicle.(a) will use that vehicle for the purpose of transporting his produce or stock, or of transporting goods required to enable him to carry on farming or horticulture; and(b) will not use that vehicle for carrying on any other trade or business or in connection with any other employment in which he may be engaged, or let the vehicle on hire or allow it to be used by any other person for a consideration (2) Where a rebate is granted under subsection (1) in respect of a commercial goods vehicle for any specified period and during that period the entitlement to a rebate ceases.(a) the owner of the vehicle ceases to be engaged in farming or horticulture; or(b) the vehicle is used, let, or allowed to be used in a manner referred to in subsection (1) (b) (2A) [Section 10 Subsection (2A) inserted by No. 20 of 1996, s. 11 ]If the Commission grants a person a rebate in respect of a commercial goods vehicle under subsection (1) , the Commission may, for the purpose of identifying the vehicle as a rebate vehicle, issue the person with a distinctive number-plate.(2B) [Section 10 Subsection (2B) inserted by No. 20 of 1996, s. 11 ]The number-plate is to be in such form as the Commission determines.(2C) [Section 10 Subsection (2C) inserted by No. 20 of 1996, s. 11 ]The number-plate so issued may be in addition to, or in substitution for, any other plate, label or form of identification issued by the Commission in respect of the rebate vehicle.(2D) [Section 10 Subsection (2D) inserted by No. 20 of 1996, s. 11 ]When the Commission issues a person with a distinctive number-plate for a rebate vehicle it is also to issue the person with written instructions for the affixing and placement of the plate on the vehicle.(2E) [Section 10 Subsection (2E) inserted by No. 20 of 1996, s. 11 ]A person who is granted a rebate under subsection (1) in respect of a vehicle issued with a distinctive number-plate for the vehicle under subsection (2A) must (a) affix that number-plate to the vehicle in accordance with the Commission's instructions; and(b) keep that number-plate affixed to the vehicle in accordance with the Commission's instructions for the period during which the vehicle is subject to the rebate.Penalty: Fine not exceeding 10 penalty units.(2F) [Section 10 Subsection (2F) inserted by No. 20 of 1996, s. 11 ]A person whose entitlement to a rebate in respect of a commercial goods vehicle ceases by virtue of subsection (2) must, within 14 days of the day on which the entitlement ceases, return to the Commission any distinctive number-plate issued for the vehicle under subsection (2A) .Penalty: Fine not exceeding 10 penalty units.(2G) [Section 10 Subsection (2G) inserted by No. 20 of 1996, s. 11 ]A person does not commit an offence under subsection (2F) if, before the commencement of the period referred to in that subsection, the person obtains the written permission of the Commission to leave the number-plate affixed to the vehicle.(3) [Section 10 Subsection (3) substituted by No. 20 of 1996, s. 11 ]For the purposes of this section commercial goods vehicle includes a trailer with a GTM exceeding 4.5 tonnes;farming includes dairy farming, pastoral farming and fruit growing.
[Section 11 Amended by No. 10 of 1986, s. 5 and Sched. 1 ]Where, pursuant to section 9 or 10 , a person ceases to be entitled to a rebate of tax, that person shall pay to the Commission within 14 days after the date on which the entitlement ceases an amount of tax calculated in accordance with the following formula:where a is the amount to be calculated;n is the number of days remaining of the period for which the rebate was granted on the day he ceases to be entitled to the rebate;d is the number of days in respect of the period for which tax was paid; andr is the amount of the rebate.
12. Refund of tax on surrender of registration
[Section 12 Amended by No. 10 of 1986, s. 5 and Sched. 1 ]Where, before the expiration of the registration of a motor vehicle or trailer, the owner of the vehicle or trailer applies to the Commission for cancellation of the registration and returns the certificate of registration and number-plates issued in relation to that vehicle or trailer, he is entitled to receive from the Commission a refund of tax calculated in accordance with the following formula:where r is the refund to be calculated;n is the number of days remaining of the period for which the vehicle or trailer was registered on the date the application for cancellation of registration is made;d is the number of days in respect of the period for which tax was paid; andt is the amount of tax paid in respect of the vehicle.
PART IV - Offences and Enforcement
(1) The amount of any tax levied on a motor vehicle or trailer by this Act is a debt due to the Commission and, except as provided in section 14 , may be recovered by the Commission in a court of competent jurisdiction from the owner of the vehicle.(2) If a person on whom a notice is served under section 6 (2) or 17 (3) requiring him to pay tax or additional tax fails to pay the amount of tax or additional tax specified in the notice within the period specified in the notice, that amount may be recovered by the Commission in a court of competent jurisdiction as a debt due to the Commission.(3) If a person to whom section 11 applies fails to pay an amount of tax which he is required to pay under that section, that amount may be recovered from that person by the Commission in a court of competent jurisdiction as a debt due to the Commission.
14. Power of court to make order for payment of tax in certain cases
(1) Where a person is found guilty of an offence against section 18 (1) , the court which made the finding may, in addition to any penalty that it may impose for the offence, order the owner of the motor vehicle or trailer involved in the commission of the offence to pay to the Commission an amount equal to the tax that would have been payable on the vehicle or trailer if an application for its registration had been made on the day that the offence was committed.(2) [Section 14 Subsection (2) omitted by No. 20 of 1996, s. 12 ]. . . . . . . .(3) [Section 14 Subsection (3) omitted by No. 20 of 1996, s. 12 ]. . . . . . . .(4) [Section 14 Subsection (4) omitted by No. 20 of 1996, s. 12 ]. . . . . . . .
15. Powers of Commission, authorized officers
(1) Where an authorized officer has reasonable grounds for believing that there is being kept at any premises a motor vehicle or trailer which is driven or used on public streets and in respect of which tax has not been paid or has been incorrectly assessed, he may enter and inspect those premises in order to ascertain whether or not any such vehicle or trailer is being kept there and may while on those premises exercise the powers conferred by subsections (3) and (4) .(2) For the purposes of this Act, the Commission or an authorized officer may, by notice in writing served on the owner of a motor vehicle or trailer specified in the request or on a person who appears to be in charge of such a vehicle or trailer, request that owner or person to produce the vehicle or trailer for examination at a place and within a period so specified and to do everything reasonably necessary to enable the examination to be carried out by that officer or another authorized officer.(3) For the purposes of this Act, an authorized officer may (a) request a person who is the owner of a motor vehicle or trailer in respect of which tax is or may be payable under this Act (whether or not the tax has in fact been paid) to produce for inspection by the authorized officer any record which relates to, or which he reasonably suspects relates to, the vehicle or trailer and which, at the time of the request, is in the possession or under the control of that person;(b) request such a person to answer any question with respect to the vehicle or trailer or to any such record or request any person who is in charge of the vehicle or trailer to answer any question with respect to the vehicle or trailer; and(c) inspect, or take copies of, or make notes in respect of, any record produced in compliance with a request made under paragraph (a) or any part of any such record.(4) [Section 15 Subsection (4) amended by No. 20 of 1996, s. 13 ]For the purposes of this Act, an authorized officer may (a) examine a motor vehicle or trailer for the purpose of enabling him to ascertain (i) in the case of a motor vehicle the kind of engine that the vehicle has and, where the engine is a piston engine, the number of cylinders in the engine; or(ii) in any case the GVM or GCM of the vehicle or the number of passenger seating positions in the vehicle; and(b) where the vehicle or trailer is in motion require the person in charge of the vehicle or trailer to stop the vehicle or trailer for the purposes of an examination under paragraph (a) .(5) A person is not excused from answering any question if required to do so under subsection (3) (b) on the ground that the answer may tend to incriminate him or make him liable to a penalty, but the information provided by him shall not be admissible against him in any proceedings, civil or criminal, except in proceedings for an offence against section 16 or 17 .(6) [Section 15 Subsection (6) amended by No. 9 of 1982, s. 7 and Sched. 10 ]Where an answer to a question referred to in subsection (3) (b) or any information whatever is given to an authorized officer by an officer of a corporation within the meaning of the Companies (Tasmania) Code which is the owner of a motor vehicle or trailer, the answer and information are, for the purposes of any proceedings against the corporation under any of the provisions of this Act, binding on and admissible in evidence against the corporation, unless it is proved that the answer or information was given in relation to a matter in respect of which the officer had no authority to bind the corporation.(7) The provisions of subsection (6) are in addition to any rule of law relating to the binding effect and admissibility in evidence of statements made by any officer or employee of the corporation.(8) A power under this section may be exercised at any reasonable time and with such assistants as the person authorized to exercise the power considers necessary.(9) An authorized officer is not empowered to exercise a power conferred by subsection (1) except on production of his warrant of authorization to the person (if any) apparently in charge of the premises in relation to which the power is sought to be exercised and is not empowered to exercise in relation to any person a power conferred by subsection (3) or (4) except on production of his warrant of authorization to that person.
16. Offences in relation to exercise of powers under this Act
(1) [Section 16 Subsection (1) amended by No. 13 of 1987, s. 5 and Sched. 1 ]Any person who is guilty of an offence and is liable on summary conviction to a penalty not exceeding 5 penalty units or imprisonment for a term not exceeding 3 months, or both, and in the case of an offence under paragraph (d) , to an additional penalty not exceeding 0·5 penalty unit for every day during which the offence continues.(a) prevents an authorized officer from exercising a power conferred by section 15 (1) , (3) (c) , or (4) (a) or hinders or obstructs such an officer in the exercise of any such power;(b) fails to comply with a notice served on him under section 15 (2) when it was within his power to comply with the notice;(c) fails to comply with a request of an authorized officer made under section 15 (3) (a) when it was within his power to comply with the request;(d) fails to comply with a request of an authorized officer made under section 15 (3) (b) ;(e) fails to comply with a requirement of an authorized officer under section 15 (4) (b) ; or(f) conceals any motor vehicle or trailer from an authorized officer for the purpose of evading tax or additional tax in respect of the vehicle or trailer or of preventing the vehicle or trailer from being examined (2) A person is not guilty of an offence under subsection (1) (d) by reason of his failure to answer any question referred to in section 15 (3) (b) if he proves to the satisfaction of the court before which he is prosecuted that he did not know, and could not with reasonable diligence have ascertained, the answer to the question.
17. False or misleading statements
(1) [Section 17 Subsection (1) amended by No. 13 of 1987, s. 5 and Sched. 1 ]Subject to subsection (2) , any person who makes any statement that is false or misleading in a material respect is guilty of an offence and is liable on summary conviction to a penalty not exceeding 10 penalty units or to imprisonment for a term not exceeding 3 months, or both.(a) in any document made by him for the purposes of this Act;(b) in giving an answer to a question put to him in accordance with section 15 (3) (b) ; or(c) in providing any information pursuant to this Act (2) It is a defence to a charge under subsection (1) if it is proved that, at the time when the statement was made, the defendant believed on reasonable grounds that it was neither false nor misleading.(3) Where the Commission may, at any time, reassess the tax in respect of the vehicle or trailer and, by notice in writing served on the person who is the owner of the vehicle or trailer, require that person to pay to the Commission the tax or additional tax within such period from the date of the notice (being a period of not less than 14 days) as may be specified in the notice.(a) a person has made any statement that is false or misleading in a material respect; and(i) in any document made by him for the purposes of this Act;(ii) in giving an answer to a question put to him in accordance with section 15 (3) (b) ; or(iii) in providing any information pursuant to or for the purposes of this Act (b) it appears to the Commission that the statement resulted in tax that should have been paid in respect of a motor vehicle or trailer not being paid or the amount of tax paid in respect of the vehicle or trailer being less than the amount that should have been paid
18. Offence to drive, use, &c. motor vehicle or trailer on public street unless tax paid
[Section 18 Subsection (1) amended by No. 87 of 1996, s. 6 ](1) [Section 18 Subsection (1) amended by No. 13 of 1987, s. 5 and Sched. 1 ]Subject to subsection (2) , a person shall not drive, leave standing or use on a public street a motor vehicle or trailer unless the tax payable in respect of that vehicle has been paid.(1A) [Section 18 Subsection (1A) inserted by No. 13 of 1987, s. 5 and Sched. 1 ]A person who contravenes a provision of subsection (1) is guilty of an offence and is liable on summary conviction to a penalty not exceeding 10 penalty units.(2) A person is not guilty of an offence under subsection (1) if he proves to the satisfaction of the court before which he is prosecuted for the offence that at the time the vehicle was being used (a) it was being taken by the most direct route to a motor registry, weighbridge, or such other place as may be required for the purposes of registration of the vehicle; and(b) it was necessary that the vehicle be taken to a place referred to in paragraph (a) for the purposes of registration.
In any proceedings under this Act, a certificate purporting to be signed by an officer of the Commission certifying that an amount specified in the certificate was payable under this Act in respect of a motor vehicle or trailer so specified as tax, and that that amount was due and unpaid on a specified date, or was not paid before a specified date, shall be admissible as evidence of the particulars contained in that certificate.
PART V - Miscellaneous
19A. Tax payable into Consolidated Fund
[Section 19A Inserted by No. 60 of 1994, s. 5 ]Any tax paid or recovered under this Act is to be paid into the Consolidated Fund for the use of the Crown.
(1) The Governor may make regulations for the purposes of this Act.(1A) [Section 20 Subsection (1A) inserted by No. 20 of 1996, s. 14 ]Without limiting the generality of subsection (1) , regulations may be made under that subsection for an in relation to tax concessions in respect of interchangeable trailers and plant trailers, including the conditions for obtaining those concessions and providing for the consequences of contravening those conditions.(2) [Section 20 Subsection (2) amended by No. 13 of 1987, s. 5 and Sched. 1 ]The regulations may provide for a contravention of, or failure to comply with, any provision of the regulations to be an offence and for the imposition of a penalty not exceeding 5 penalty units for such an offence.(3) Regulations may be made so as to apply differently to or in respect of different classes of vehicles or according to such other different factors as may be specified in the regulations.
The Acts that are specified in Schedule 2 are repealed.
22. Savings and transitional provisions
The savings and transitional provisions set out in Schedule 3 have effect.[Section 23 Repealed by No. 62 of 1982, s. 2 ]. . . . . . . .
SCHEDULE 1 - Scales and Rates of Taxes for Light Vehicles[Schedule 1 Substituted by No. 20 of 1996, s. 15 ]
Class and type of vehicle | Tax Payable | Class A vehicles | 1. | A motor vehicle propelled by means of a piston engine with 3 or fewer cylinders | $67 | 2. | A motor vehicle propelled by means of a piston engine with 4 cylinders | $78 | 3. | A motor vehicle propelled by means of a piston engine with 5 or 6 cylinders | $97 | 4. | A motor vehicle propelled by means of a piston engine with 7 or 8 cylinders | $134 | 5. | A motor vehicle propelled by means of a piston engine with more than 8 cylinders | $150 | 6. | A motor vehicle propelled by means of a rotary engine or electric motor | $78 |
Class and type of vehicle | Tax Payable | Other vehicles | 1. | A commercial goods vehicle with a GVM exceeding 3 tonnes, being a motor vehicle | (a) propelled by means of a piston engine with 4 or fewer cylinders | $150 | (b) propelled by means of a piston engine with 5 or 6 cylinders | $175 | (c) propelled by means of a piston engine with 7 or 8 cylinders | $200 | (d) propelled by means of a piston engine with more than 8 cylinders | $225 | (e) propelled by means of a rotary engine or electric motor | $150 | 2. | A bus with 10 adult seats (including the driver's seat) | $100 | 3. | A bus with more than 10 adult seats (including the driver's seat) | $175 | 4. | A motor cycle | $11 | 5. | A goods carrying trailer with an operating mass not exceeding 4.5 tonnes | $15 | 6. | A tractor | $75 |
SCHEDULE 1A - Scales and Rates of Taxes for Heavy Vehicles[Schedule 1A Inserted by No. 20 of 1996, s. 15 ]
PART 1 - Peliminary
1. In this Schedule nominated means nominated under section 11A (2) of the Traffic Act 1925 ;special purpose vehicle means a heavy vehicle, other than a public vehicle, that (a) does not carry passengers or goods; or(b) has a primary purpose other than the carriage of passengers or goods; or(c) is a work vehicle;truck means a rigid motor vehicle that is designed and constructed as a load carrying vehicle.
2. For the purposes of this Schedule (a) 2 axles not more than one metre apart are to be regarded as one axle; and(b) 3 axles not more than one metre apart are to be regarded as one axle; and(c) 4 axles not more than 3.2 metres apart are to be regarded as 3 axles.
PART 2 - Scales and rates of taxes for 12 month period
Class and type of vehicle | Tax payable | Trucks | 1. | A 2 axle truck with a GVM not exceeding 12 tonnes | $300 | 2. | A 2 axle truck with a GVM exceeding 12 tonnes | $500 | 3. | A 2 axle truck nominated for use in a combination having a trailer with a laden mass exceeding 4.5 tonnes | $600 | 4. | A 2 axle truck nominated for use in a combination have one trailer and more than 6 axels | $4 000 | 5. | A 3 axle truck with a GVM not exceeding 16.5 tonnes | $600 | 6. | A 3 axle truck with a GVM exceeding 16.5 tonnes | $800 | 7. | A truck with 3 or more axles and nominated for use in a combination having a trailer with a laden mass exceeding 4.5 tonnes | $2 100 | 8. | A 3 axle truck nominated for use in a combination have one trailer and more than 6 axels | $4 000 | 9. | A truck with 4 or more axels and a GVM not exceeding 20 tonnes | $900 | 10. | A truck with 4 or more axles and a GVM exceeding 20 tonnes | $2 000 | 11. | A truck with 4 or more axles and nominated for use in a combination have one trailer and more than 6 axles | $4 250 | Prime movers | 1. | A prime mover with 2 axles | $800 | 2. | A prime mover with 3 axles | $3 250 | 3. | A prime mover with 4 or more axles | $4 250 | 4. | A prime mover with 2 axles and nominated for use in a combination having 2 semi-trailers | $3250 | 5. | A prime mover with 3 axles and nominated for use in a combination having 2 semi-trailers | $4 250 | 6. | A prime mover with 4 or more axles and nominated for use in a combination have 2 semi-trailers | $4 500 | Buses | 1. | A 2 axle rigid bus with a GVM not exceeding 12 tonnes | $300 | 2. | a 2 axle rigid bus with a GVM exceeding 12 tonnes | $500 | 3. | A 3 axle rigid bus | $1 250 | 4. | An articulated bus | $500 | Trailers | 1. | A goods carrying trailer with an operating mass exceeding 4.5 tonnes | $250 x number of axles | Special purpose vehicles | 1. | A special purpose vehicle with no axle that is loaded in excess of the limits prescribed by the Traffic (Vehicle Loads and Dimensions) Regulations 1975 | No charge | 2. | A special purpose vehicle with at least one axle that is loaded in excess of the limits prescribed by the Traffic (Vehicle Loads and Dimensions) Regulations 1975 | The amount calculated by using the formula: $250 + $250 x number of axles in excess of 2 |
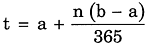
PART 3 - Scales and rates of taxes for periods less than 12 monthsThe tax payable in respect of a vehicle for a 3 month or 6 month period is calculated in accordance with the following formula:where
t is the amount of tax to be calculated; and
a is the amount of tax that would be payable in respect of the vehicle for a 12 month period under Part 2 of this Schedule; and
d is the number of days in the 3 month or, as the case may be, 6 month period.
PART 4 - Concessional ratesThe tax payable in respect of an interchangeable trailer or a plant trailer is 60% of the tax that, but for this Part, would otherwise be payable in respect of the interchangeable trailer or plant trailer.
SCHEDULE 2 - Repeals
Year and number of Act | Short title of Act | 8 Geo. V. No. 30 | Motor Vehicles Tax Act 1917 | No. 33 of 1958 | Motor Vehicles Tax Act 1958 | No. 26 of 1961 | Motor Vehicles Tax Act 1961 | No. 19 of 1962 | Motor Vehicles Tax Act 1962 | No. 48 of 1964 | Motor Vehicles Tax Act 1964 | No. 51 of 1966 | Motor Vehicles Tax Act 1966 | No. 14 of 1968 | Motor Vehicles Tax Act 1968 | No. 27 of 1969 | Motor Vehicles Tax Act 1969 | No. 7 of 1971 | Motor Vehicles Tax Act 1971 | No. 60 of 1972 | Motor Vehicles Tax Act 1972 | No. 52 of 1975 | Motor Vehicles Tax Act 1975 | No. 86 of 1977 | Motor Vehicles Tax Act 1977 | No. 12 of 1980 | Motor Vehicles Tax Amendment Act 1980 | No. 75 of 1980 | Motor Vehicles Tax Amendment Act (No. 2) 1980 |
SCHEDULE 3 - Savings and Transitional Provisions
1. Saving in relation to tax payable under Motor Vehicles Tax Act 1917(1) Any exemption from tax, and any rebate of tax, granted in accordance with the Motor Vehicles Tax Act 1917 and in force immediately before 1st December 1981 shall be deemed to have been made or granted in accordance with this Act.(2) The repeal of the Motor Vehicles Tax Act 1917 by this Act does not affect the liability of any person to pay tax in respect of a period commencing before 1st December 1981, in accordance with that Act, and that person is liable to pay any such tax in all respects as if that Act had not been repealed.
2. Cancellation of registration of motor vehicle or trailer before 1st December 1982Where the amount of tax payable in respect of the vehicle or trailer shall, not withstanding anything in this Act to the contrary, be the amount of motor vehicle tax which would have been payable under the Motor Vehicles Tax Act 1917 if that Act had not been repealed by this Act or which would be payable in accordance with Schedule 1 , whichever amount is the greater.(a) after 3rd November 1981 but before 1st December 1982 the registration of a motor vehicle or trailer is cancelled under the Traffic Act 1925 in consequence of an application for that purpose made by or on behalf of the owner of the vehicle or trailer;(b) a refund of tax is made in respect of the vehicle or trailer as a result of the cancellation of that registration; and(c) an application to re-register the vehicle or trailer under the Traffic Act 1925 is made before 1st December 1982
3. Effect of application for registration or renewal of registration in respect of class B vehicle before 1st December 1982(1) Subject to subclause (3) , where the tax payable under this Act in respect of the vehicle for the period of 12 months for which the vehicle is to be registered in consequence of that application shall be that calculated in accordance with the following formula:where (a) an application for the registration or renewal of registration of a class B vehicle which has a gross combination mass is made to the Commission during the period of 12 months beginning on 1st December 1981; and(b) the gross combination mass is or exceeds 3 tonnes t is the amount of tax to be calculated;n is the number of days which have elapsed during the period beginning on 1st December 1981 and ending on the day immediately preceding the day on which the application for registration is made or, as the case may be, the day on which the registration of the vehicle would have expired if an application for renewal of registration of the vehicle had not been made;a is the tax which would have been payable in respect of the vehicle if the Motor Vehicles Tax Act 1917 had not been repealed; andb is the amount of tax which would, but for this subclause, have been payable in respect of the vehicle in accordance with Schedule 1 .(2) Subject to subclause (3) , where an application for the registration or renewal of registration of a trailer is made to the Commission during the period of 12 months beginning on 1stDecember 1981 and the tax payable in respect of the trailer under this Act for the period of 12 months for which the trailer is to be registered in consequence of that application shall be that calculated in accordance with the following formula:where (a) in the case of a trailer in respect of an application for registration is made the amount of tax which would have been payable in respect of the trailer if the Motor Vehicles Tax Act 1917 had not been repealed would have exceeded $15; or(b) in the case of a trailer in respect of which an application for renewal of registration is made the amount of tax last paid in respect of the trailer under the Motor Vehicles Tax Act 1917 exceeded $15 t is the amount of tax to be calculated;n is the number of days which have elapsed during the period beginning on 1st December 1981 and ending on the day immediately preceding the day on which the application for registration is made or, as the case may be, the day on which the registration of the trailer would have expired if an application for renewal of registration of the trailer had not been made;a is the tax which would have been payable in respect of the trailer if the Motor Vehicles Tax Act 1917 had not been repealed; andb is the amount of tax which would, but for this subclause, have been payable in respect of the vehicle in accordance with Schedule 1 .(3) This clause does not apply in respect of a motor vehicle or trailer where the application for registration of the vehicle or trailer is made in the circumstances specified in clause 2 (1) of this Schedule.







